航空发动机气流温度传感器实时补偿研究
通信作者:
高锋,工程师,研究方向为机载传感器测试与控制。
基金项目:
航空发动机及燃气轮机重大专项基础研究(J2022-V-0005-0031)
中图分类号:
V233.7
文献标识码:
A
流转信息 | 收稿日期 : 2025-06-05 退修日期 : 2025-07-01 录用日期 : 2025-07-17 |
引用格式
引文格式:高锋, 赵振平, 郭子昂, 等. 航空发动机气流温度传感器实时补偿研究[J]. 航空制造技术, 2026, 69(5): 25020173.
摘要
针对航空发动机用气流温度传感器的动态响应慢、测量精度差等问题,对某型航空发动机选用的涡轮后排气温度传感器进行了稳态误差和动态误差的分析及实时补偿。基于气流温度传感器物理模型进行了热流耦合数值仿真计算,提出了基于二阶补偿系统的动态实时补偿模型,并在校准热风洞进行了试验验证。结果表明,仿真计算结果与校准热风洞试验得到的传感器时间常数基本一致,验证了仿真模型的准确性,同时试验结果经过实时补偿后,稳态误差和动态误差有了大幅度降低,抑制了动态响应的超调现象;在来流总温772.95 K、来流马赫数0.400时,稳态误差降低最小值为0.1 ℃,下降幅度98.6%;在来流阶跃温度为403~594 ℃,来流马赫数0.402时,动态误差降低幅度最大为63.9%。
关键词
航空发动机;气流温度;实时补偿;热流耦合;动态误差;
Research on Real-Time Compensation of Aero-Engine Airflow Temperature Sensor
Citations
GAO Feng, ZHAO Zhenping, GUO Ziang, et al. Research on real-time compensation of aero-engine airflow temperature sensor[J]. Aeronautical Manufacturing Technology, 2026, 69(5): 25020173.
Abstract
Addressing the issues of slow dynamic response and poor measurement accuracy of airflow temperature sensors used in aero-engines, an analysis and real-time compensation of steady-state and dynamic errors were conducted for a certain type of turbo-exhaust temperature sensor selected for aero-engines. Based on the physical model of the airflow temperature sensor, a numerical simulation of thermal-flow coupling was performed. A dynamic real-time compensation model based on a second-order compensation system was proposed and validated through experiments in a calibrated hot-wind tunnel. The results showed that the simulation results were basically consistent with the sensor time constants obtained from the calibrated hot-wind tunnel tests, verifying the accuracy of the simulation model. Meanwhile, after real-time compensation, the steady-state and dynamic errors were significantly reduced, suppressing the overshoot phenomenon of dynamic response. At an incoming total temperature of 772.95 K and an incoming Mach number of 0.400, the minimum reduction in steady-state error was 0.1 ℃, with a decrease of 98.6%. At an incoming step temperature of 403-594 ℃ and an incoming Mach number of 0.402, the maximum reduction in dynamic error was 63.9%.
Keywords
Aero-engines
航空发动机涡轮后排气温度测量是发动机运行监控中的核心环节。其测量气流温度的准确性直接影响发动机整体性能的评估,包括涡轮叶片的高温失效、燃烧室积炭堵塞、压气机效率的推算以及润滑油泄漏局部过热等现象的监测,更是航空发动机健康管理、剩余寿命的预测和飞行安全的重要基石。因此,对航空发动机涡轮后排气温度传感器的精准测量具有重要意义。涡轮后排气温度传感器的实际使用面临航空发动机高温、高压和高速气流以及振动环境的冲击,往往在设计过程需要加屏蔽罩来保护内部传感器以降低外界因素的干扰,但其带来的传感器时间响应的滞后和测量误差也不可避免。对于此问题,一般有两种解决方法,第1种是通过优化传感器的结构设计,权衡多种影响因素,提高动态响应和降低稳态误差[
赵俭. 现场参考气流高温传感器最佳内流速度计算[J]. 航空动力学报, 2023, 38(6): 1281-1291.ZHAO Jian. Calcultion of optimum inner flow velocity of sitereference high temperature gas sensor[J]. Journal of Aerospace Power, 2023, 38(6): 1281-1291.
杨伟平, 张伟昊, 邹正平, 等. 屏蔽式总温热电偶的稳态误差分析及改型设计[J]. 航空动力学报, 2018, 33(11): 2784-2795.YANG Weiping, ZHANG Weihao, ZOU Zhengping, et al. Steady state error estimation and modification of a shielded thermocouple[J]. Journal of Aerospace Power, 2018, 33(11): 2784-2795.
VILLAFAÑE L, PANIAGUA G. Aero-thermal analysis of shielded fine wire thermocouple probes[J]. International Journal of Thermal Sciences, 2013, 65: 214-223.
1-4
ALIFANOV O M, CHEREPANOV V V, MORZHUKHINA A V. Investigation of the formation mechanism and the magnitude of systematic error of thermocouple measurements in high-temperature heat shield aerospace materials[J]. Journal of Engineering Physics and Thermophysics, 2018, 91(3): 574-584.
杨兆欣, 顾正华, 张文清, 等. 基于热电偶的低速风洞气流温度误差补偿方法[J]. 仪器仪表学报, 2022, 43(5): 68-76.YANG Zhaoxin, GU Zhenghua, ZHANG Wenqing, et al. The error compensation method of the low-speed wind tunnel flow temperature based on the thermocouple[J]. Chinese Journal of Scientific Instrument, 2022, 43(5): 68-76.
孙昊博, 毛晓奇, 朱传龙. 航空发动机热电偶传感器稳态测温偏差分析[J]. 航空动力学报, 2022, 37(9): 2009-2016.SUN Haobo, MAO Xiaoqi, ZHU Chuanlong. Analysis of steady-state temperature measurement deviation of thermocouple sensors on aeroengine[J]. Journal of Aerospace Power, 2022, 37(9): 2009-2016.
孙海龙, 王亮, 耿欣, 等. 航空发动机高精度高效温度畸变测试技术研究[J]. 测控技术, 2024, 43(8): 37-43, 57.SUN Hailong, WANG Liang, GENG Xin, et al. Research on high precision and efficiency temperature distortion testing technology of aeroengines[J]. Measurement & Control Technology, 2024, 43(8): 37-43, 57.
杨兆欣, 顾正华, 张文清. 高速气流总温探针恢复特性评估技术研究[J]. 仪器仪表学报, 2021, 42(8): 122-129.YANG Zhaoxin, GU Zhenghua, ZHANG Wenqing. Research on the recovery characteristics evaluation of total temperature probe in the high-speed airflow[J]. Chinese Journal of Scientific Instrument, 2021, 42(8): 122-129.
5-10
为了保证航空发动机涡轮后排气温度的精准和快速测量,需要对测量气流温度传感器的稳态误差及动态特性响应进行系统的研究和试验。国内外学者对此展开了大量的理论研究和试验验证[
AUGUSTIN S, FRÖHLICH T, MAMMEN H, et al. Determination of the dynamic behaviour of high-speed temperature sensors[J]. Measurement Science and Technology, 2012, 23(7): 074024.
JACKOWSKA-STRUMIŁŁO L. ANN based modelling and correction in dynamic temperature measurements[C]//Artificial Intelligence and Soft Computing-ICAISC 2004. Berlin, Heidelberg: Springer, 2004: 1124-1129.
Jackowskastrumiłło L. Analytical and neural correctors of temperature sensors dynamic errors[J]. Wydawnictwa Agh, 2010.
赵俭, 杨永军. 气流温度测量技术[M]. 北京: 中国标准出版社, 2017.ZHAO Jian, YANG Yongjun. Air flow temperature measurement technology[M]. Beijing: Standards Press of China, 2017.
11-15
本文通过对涡轮后排气温度传感器物理模型进行仿真模拟计算,对传感器的稳态误差和动态误差进行规律趋势分析,针对一阶补偿模型的超调现象,建立基于二阶系统动态实时补偿模型;同时,通过校准热风洞对动态实时补偿模型进行试验验证,并对试验补偿结果进行深入的分析,得到的涡轮后排气温度传感器的误差补偿规律和补偿模型最优参数,为航空发动机涡轮后排气温度的快速响应和精准测量提供参考。
选用某型航空发动机涡轮后排气温度测量的屏蔽式热电偶温度传感器作为研究对象,传感器结构及计算模型示意图如图1所示,所用材料参数如表1所示。传感器结构主要由感温元件、屏蔽罩、外壳、非金属填充材料、接插件以及法兰等零部件组成。在计算时的风道(风道直径150 mm)和传感器的布置图中,热电偶头部置于核心主流区域。

| 材料 | 杨氏模量/GPa | 热膨胀系数/10−7 ℃-1 | 比热容/(kJ/(kg·K)) | 密度/(kg·m−3) | 热导率/(W/(m·K)) |
|---|---|---|---|---|---|
| MgO(填充物) | 160 | 138 | 0.924 | 2280 | 14 |
| 探头 | 242 | 156 | 0.3 | 9500 | 15 |
| 镍铬合金 | 224 | 180 | 0.46 | 8400 | 15 |
| 镍硅合金 | 206 | 180 | 0.42 | 8902 | 15 |
| 合金600 | 184 | 170 | 0.46 | 7920 | 15 |
在对原始数模进行适当简化的基础上,利用ICEM生成网格,在温度传感器存在尺度较小的区域,进行了相应的加密,同时为了更好地适应湍流模型要求,与流体接触的壁面附近网格进行附面层加密,保证核心区域的无量纲距离在1量级及以下,总体网格数量为1200万量级,网格划分示意图如图2所示。

流场计算采用基于压力的求解方法,离散格式采用二阶迎风格式;湍流模型选用Realizable k-ε模型,近壁区采用增强型壁面函数,以便更好适应近壁区网格的无量纲距离变化;高温工况下存在一定的辐射效应,因此,计算采用DO模型进行辐射计算,空气为透明介质,固体区域均为不透明体,内部发射率设置为0.8。
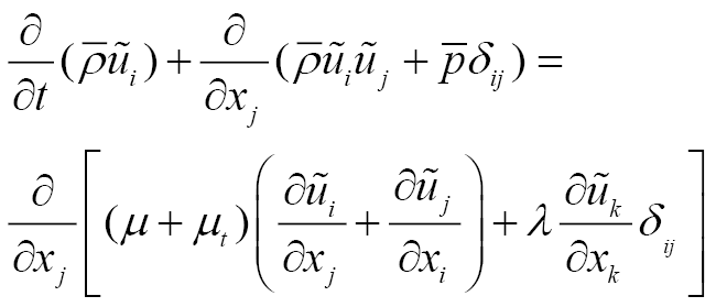
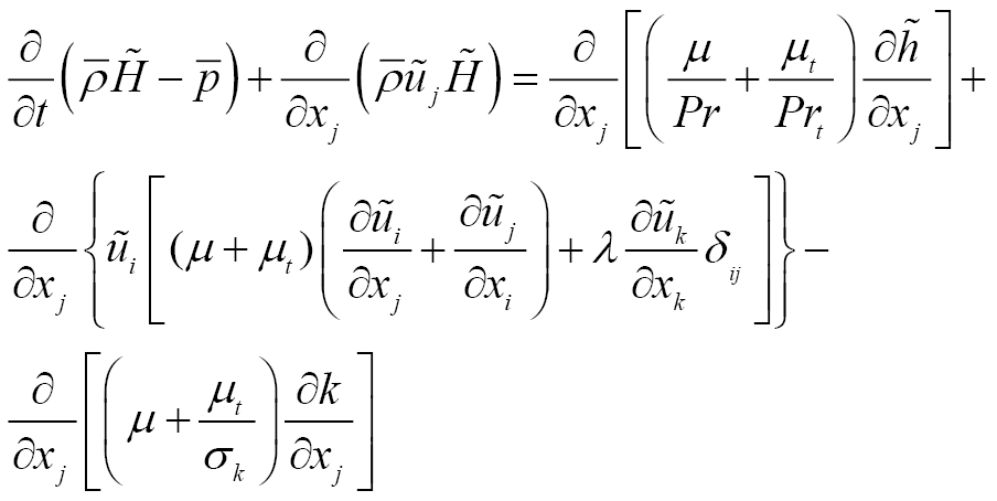
流场通过求解Navier-Stokes方程计算,计算所采用的控制方程包括连续方程、动量方程和能量方程。

式中,

式中,

式中,
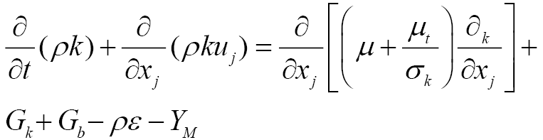
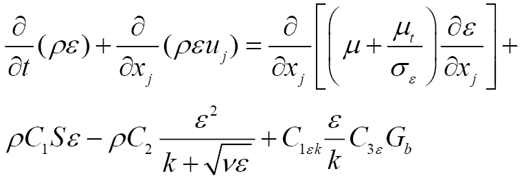
Realizable k-ε模型输运方程包括:湍动能(k)方程、湍流耗散率(ε)方程、涡黏性系数(μt)

式中,ρ为瞬时密度;ε为湍流耗散率;Gk为平均速度梯度产生的湍动能生成项;Gb为浮力产生的湍动能生成项;YM为可压缩性修正项。

式中,σε为耗散率的湍流普朗特数;C1为动态系数;S为平均应变率张量的模量;C2为模型常数;ν为运动黏度;C1ε为模型常数;C3ε为浮力影响系数。

其中,动态系数
式中,Cμ为动态系数;动态系数中A0为模型常数;As为应变力率参数;U*为特征速度尺度;Sij为平均应变率张量;
计算中需要分析不同马赫数和温度条件下的稳态和动态误差,因此,风道进口采用质量流量条件,根据马赫数和进口总温换算具体的质量流量,出口采用压力出口边界条件,固体边界采用无滑移边界条件。
动态计算过程中,首先在特定马赫数和总温条件下进行初场的稳态计算,进而改变风道的边界条件进行动态计算。初始阶段时间步长取值为0.001 s,每步迭代300次,根据温度阶跃变化情况逐步增加时间步长和减少单步迭代次数,最大时间步长为0.01 s,每步最少迭代次数为80次。
对温度传感器的屏蔽罩内、外温场和流场进行仿真计算,仿真结果如图3和4所示,来流典型工况为:马赫数为0.2、0.4和0.6,气流总温为400 ℃、500 ℃、600 ℃、700 ℃和800 ℃,气流压力为0.1 MPa,环境温度为25 ℃。如表2所示,得到不同工况下的传感器的稳态误差[
3


| 气流马赫数Ma | 测点1/℃ | 测点2/℃ | 测点3/℃ | 测试点4/℃ |
|---|---|---|---|---|
| 0.4±0.005 | 400±10 | 500±10 | 600±10 | 700±10 |
如图3所示,显示了不同气流温度和马赫数的温度分布云图,对比图3(a)、(b)和(c)以及图3(d)、(e)和(f)中传感器屏蔽罩头部的绕流颜色,随着来流马赫的增大,屏蔽罩头部绕流温度与气流总温误差越大,在传感器表面形成的边界层效应增强。这是由于来流马赫增大时,动能部分占比增大,气流静温降低,屏蔽罩和内壁与气流换热后的温度降低,同时,高速气流下,气流边界层变厚,隔热效果增强,热量更难传递到传感器表面,导致了传感器的稳态误差增加;对比图3(b)、(e)、(g)和(h)显示了来流马赫为0.4的不同气流温度云图,从迎风和背风区域看出气流的分布情况无明显差异,且云图中图例的颜色比例也基本一致,说明随着气流温度的增加,气流静温增大,稳态误差随着静温的增大呈等比例放大。图4显示了与图3相同的工况的速度分布云图,随着来流马赫的增大,背风区的影响区域增大,迎风区传感器轴向的边界层效应增强;同时,在相同来流马赫数工况下,随着气流总温的增大,传感器屏蔽层头部绕流速度增大。
根据第1节中的仿真计算结果,对涡轮后排气温度传感器的动态实时补偿模型中稳态补偿参数进行估计,对仿真模型计算出的稳态误差结果进行最小二乘法稳态补偿参数估计。如图5所示,补偿模型中稳态补偿参数与回归直线的斜率对应,通过实际测量温度与稳态补偿参数的乘积得到补偿后的温度值。在气流马赫数为0.2 Ma时,稳态补偿参数为1.008;气流马赫数为0.4 Ma时,稳态补偿参数为1.014;马赫数为0.6 Ma时,稳态补偿参数为1.023。

图6计算了涡轮后排气温度传感器在不同工况阶跃温度下的时间常数,可以看出,随着气流温度的升高,温度传感器的时间常数减小;随着马赫数的增大,温度传感器的时间常数明显减小;随着温度阶跃量的降低,时间常数也呈一定程度的减小。由于气流温度的升高,气流黏度越大,摩擦越大,对流换热越强;气流马赫数增加,质量流速越大,换热系数越大,从而导致时间常数越小。

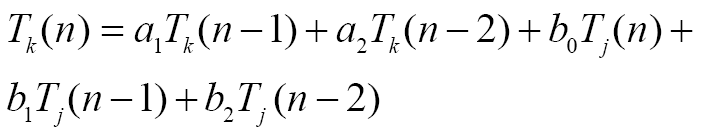
热电偶温度传感器感温元件动态模型为一阶系统[
Brundage A L, Donaldson A B, Gill W, et al. Thermocouple Response in Fires, part 1: Considerations in Flame Temperature Measurements by a Thermocouple[J]. Journal of Fire Sciences, 2011, 29(3): 195-211.
BILGILI M. Prediction of soil temperature using regression and artificial neural network models[J]. Meteorology and Atmospheric Physics, 2010, 110(1): 59-70.
HINDASAGERI V, VEDULA R P, PRABHU S V. Thermocouple error correction for measuring the flame temperature with determination of emissivity and heat transfer coefficient[J]. The Review of Scientific Instruments, 2013, 84(2): 024902.
Thermocouple recovery factor for temperature measurements in turbomachinery test facilities[C]//52nd Aerospace Sciences Meeting. 13-17 January 2014, National Harbor, Maryland. Reston, Virginia: AIAA, 2014: 0791.
翁润滢. 热电阻温度传感器动态特性研究[D]. 杭州: 中国计量大学, 2019.WENG Runying. The study of dynamic characteristics of resistance temperature detector[D]. Hangzhou: China University of Metrology, 2019.
16-21

式中,Tk为动态补偿后的温度;Tj为原始测量温度;
图7所示为某工况条件下传感器动态响应的一阶模型补偿和动态实时补偿模型的补偿结果。可以看出,通过一阶补偿模型补偿后的温度动态响应出现了明显的超调现象(图中黑色虚线区域)且在响应速度越快时超调误差越大,最大误差值约30 ℃,而动态实时补偿模型对补偿后的超调现象进行了较好地抑制,没有出现超调引起的超出误差,且响应速度无明显降低。

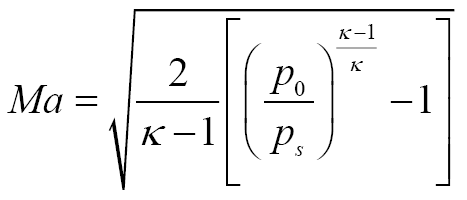
图8为校准热风洞的示意图[
17


式中,P0为气流总压;Ps为气流静压;κ为绝热指数;tg0为参考温度传感器的测量温度;Δ0为参考温度传感器的恢复修正系数。

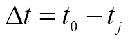
式中,t0为气流总温;tj为涡轮后排气温度传感器的测量温度。

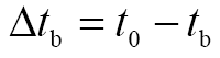
式中,tb为补偿后温度。


如图10所示,测量动态误差[
17

动态误差计算定义为式(12)和(13),如图11所示,阶跃温度为T0~T2,其中,第1个采样点为阶跃前曲线水平段的最末端,选择该点作为阶跃的起始点,第N个采样点为阶跃后曲线水平段的最前端,选择N作为阶跃的终止点,在第k个采样点的动态误差如图11中箭头所示。如图11所示,参考温度1(T1)为涡轮后排气温度传感器指示温度的稳定值(不考虑稳态误差),实时补偿后的动态误差为补偿1后动态误差;参考温度2(T2)为气流温度参考值(考虑稳态误差),实时补偿后的动态误差为补偿2后动态误差。


式中,

通过热风洞对涡轮后排气温度传感器进行了4个测点的热风洞稳态误差测量试验,取该型传感器典型工况,测试参数如表2所示。
如图12所示,其中补偿模型中稳态补偿参数设置为1.014,显示了风洞试验涡轮后排气温度传感器的指示温度、气流总温与稳态误差补偿后的结果,试验次数中的第4次为前3次的平均值。可以看出,在4个测点中经动态补偿后的稳态误差明显小于补偿前的稳态误差,在测点1和测点3处气流总温与补偿后温度值存在较小的正负误差波动,说明动态实时补偿模型中比例系数的正确性,且在测点2处气流总温与补偿后的温度值整体误差不大于1 ℃,补偿效果最好;在测点4处的4次试验误差波动规律一致,补偿后的误差保持在3 ℃以内,说明动态实时补偿模型对于高温气流补偿有较好的稳定性。

图13显示了涡轮后排气温度传感器补偿前后的稳态误差以及降低百分比,可以看出,随着气流总温的增加,涡轮后排气温度传感器的测量值稳态误差越大,符合实际规律,经过补偿后稳态误差有了大幅度降低,误差基本保持在-1~3 ℃范围,而对于降低百分比,呈现先增加后减小的趋势,最大降幅接近98%,说明该点的稳态误差接近于零,整体达到70%以上的误差幅度降幅,验证了热流耦合仿真计算结果的有效性。

通过热风洞对涡轮后排气温度传感器进行两个阶跃温度工况的试验来测量动态误差,试验参考了《JJF 1049—2024温度传感器动态响应校准规范》,具体工况如表3。
| 气流马赫数Ma | 阶跃温度1/℃ | 阶跃温度2/℃ |
|---|---|---|
| 0.4±0.005 | (400±10)~(600±10) | (600±10)~(800±10) |
如图14和15所示,根据仿真计算结果,动态实时补偿模型最优参数设置为稳态补偿参数为1.014,一阶增益参数为10,二阶增益参数为5,得出涡轮后排气温度传感器在阶跃温度1和2时的动态误差补偿结果。图14(a)~(c)和图15(a)~(c)显示的动态误差补偿1表示传感器动态响应过程不考虑稳态误差的动态补偿结果;动态误差补偿2表示考虑稳态误差的动态补偿结果。可以看出,两个阶跃工况下经过动态实时补偿后的超调现象完全消失,阶跃温度1谐振现象基本消失;阶跃温度2谐振现象也在小范围内出现。如图14(c)椭圆虚线区域所示,谐振峰极值不大于0.2 ℃,图14(c)圆形虚线中表示转折峰值与气流总温参考值的误差值约为13 ℃,在不牺牲响应速度和抑制超调的前提下优化的较小误差,且转折峰值后的温度响应趋势误差越来越小。阶跃温度2动态补偿后谐振现象出现了较小范围内的峰值,如图15(a)横向椭圆曲线区域,谐振峰极值约为1 ℃,竖向椭圆虚线区域误差约为18 ℃。在6次试验过程中,补偿后的传感器响应曲线的上升趋势贴近参考气流温度趋势,说明响应速度有了大幅度地提高,补偿后的温度响应趋势与气流总温参考值的一致性较好,说明了动态实时补偿模型有较强的鲁棒性。


图14(d)和15(d)中显示了涡轮后排气温度传感器在阶跃温度1和阶跃温度2时整体动态误差补偿百分比,整体降低百分比范围为50.1%~63.9%。由图14(d)所示,横坐标0、1、2分别表示未补偿的动态误差、动态误差补偿1后的动态误差和动态误差补偿2后的动态误差结果,在阶跃温度1工况下动态补偿1后动态误差的降低百分比最大为60.9%,动态补偿2后动态误差降低百分比最大为63.9%,且3次试验中从动态补偿1至动态补偿2下降的误差百分比较为均匀,约为3%;在图15(d)所示,动态误差补偿1后的动态误差降低百分比最大为54.7%,动态补偿2后动态误差降低百分比最大为62.7%,第1次试验中从动态补偿1至动态补偿2下降的误差百分比最大为8%。
本文通过某型航空发动机选用的涡轮后排气温度传感器进行了仿真计算分析和校准热风洞试验。基于仿真计算结果对气流温度传感器稳态、动态误差和动态响应规律进行了深入分析,并提出了基于二阶系统的动态实时补偿模型,通过热风洞试验对传感器物理模型以及动态实时补偿模型进行了试验验证,并进行了补偿后的结果分析,得出以下主要结论。
(1)基于涡轮后排气温度传感器对物理模型进行热流耦合仿真计算,得出不同工况条件下温度传感器的稳态误差和时间常数,气流马赫数越大时,稳态参数越小;气流温度越大,稳态误差越大。传感器的时间常数随着气流马赫数越大、气流总温越高和温度阶跃量越小而越小。
(2)基于仿真计算温度结果规律建立了动态实时补偿模型,并考虑了温度传感器一阶系统的超调现象,对模型参数进行了优化,同时考虑温度传感器动态响应过程的稳态误差问题,建立了包括稳态参数、一阶增益变量和二阶增益变量的动态实时补偿模型。
(3)针对涡轮后排气温度传感器动态误差建立了动态误差定量化计算公式,并设置了与仿真计算部分工况下的校准热风洞试验验证,结果表明,仿真计算结果与风洞试验结果一致性较好,验证了仿真模型的准确性。
(4)通过校准热风洞试验和实时补偿模型得到了试验和补偿结果,对比了动态误差计算过程是否考虑稳态误差的情况,同时对稳态误差和动态误差的下降幅度进行了定量计算。补偿后的稳态误差在测点1、2和3处最大误差不超过1.5 ℃;在测点4处不超过3 ℃,整体下降幅度大于70%,最大为98.6%;补偿后的动态响应曲线对比原始数据响应速度明显提高,且在响应曲线转折处无超调现象,阶跃温度2工况下补偿后出现了小范围的谐振,与气流温度参考值的贴合趋势较好;阶跃温度1工况下动态误差值整体从约46下降至20,考虑稳态误差后下降至约17,下降幅度范围为55.8%~63.9%,阶跃温度2工况下动态误差值整体约54下降至25,考虑稳态误差后下降至约23,下降幅度范围为50.1%~62.7%。
参考文献
| [1] | |
| [2] | |
| [3] | |
| [4] | |
| [5] | |
| [6] | |
| [7] | |
| [8] | |
| [9] | |
| [10] | |
| [11] | |
| [12] | |
| [13] | |
| [14] | |
| [15] | |
| [16] | |
| [17] | |
| [18] | |
| [19] | |
| [20] | |
| [21] | |