纵扭超声振动辅助微量润滑铣削Al-50% Si合金加工机理与切削性能研究

基金项目

湖南省自然科学基金面上项目(2025JJ50275);国家自然科学基金(52075168)

中图分类号:

V2

文献标识码:

A

通信作者

牛秋林,教授,博士生导师,主要从事难加工材料高速切削与超声振动辅助加工方面的研究。

编辑

责编 :晓月

流转信息

收稿日期 : 2025-02-15

退修日期 : 2025-04-27

录用日期 : 2025-10-20

引用格式

引文格式:谢志龙, 牛秋林, 张宇, 等. 纵扭超声振动辅助微量润滑铣削Al-50% Si合金加工机理与切削性能研究[J]. 航空制造技术, 2026, 69(5): 25020045.

Mechanism and Cutting Performance of Micro Lubrication Milling Al-50% Si Alloy Assisted by Longitudinal Torsional Ultrasonic Vibration

Citations

XIE Zhilong, NIU Qiulin, ZHANG Yu, et al. Mechanism and cutting performance of micro lubrication milling Al-50% Si alloy assisted by longitudinal torsional ultrasonic vibration[J]. Aeronautical Manufacturing Technology, 2026, 69(5): 25020045.

航空制造技术    第69卷    第5期    161-170
Aeronautical Manufacturing Techinology    Vol.69    No.5 : 161-170
DOI: 10.16080/j.issn1671-833x.25020045
研究论文(RESEARCH)

纵扭超声振动辅助微量润滑铣削Al-50% Si合金加工机理与切削性能研究

  • 谢志龙
  • 牛秋林
  • 张宇
  • 高菁忆
  • 吴美仪
湖南科技大学机电工程学院湘潭 411201

通信作者

牛秋林,教授,博士生导师,主要从事难加工材料高速切削与超声振动辅助加工方面的研究。

基金项目

湖南省自然科学基金面上项目(2025JJ50275);国家自然科学基金(52075168)

中图分类号:

V2

文献标识码:

A

流转信息

收稿日期 : 2025-02-15     退修日期 : 2025-04-27     录用日期 : 2025-10-20     

引用格式

引文格式:谢志龙, 牛秋林, 张宇, 等. 纵扭超声振动辅助微量润滑铣削Al-50% Si合金加工机理与切削性能研究[J]. 航空制造技术, 2026, 69(5): 25020045.

摘要

高硅铝合金材料因其优良的热导性能和较高的比强度而被广泛用于航空器热防护结构,但由于内部增强相硅颗粒的存在,导致材料加工困难。纵扭超声振动辅助微量润滑切削对改善均质材料的可加工性有明显优势,但对高硅铝合金材料的加工应用仍需进一步研究。本文利用单因素试验方法,探究纵扭超声振动辅助微量润滑铣削Al-50% Si(质量分数)合金时,不同切削参数对切削力、切削温度及工件表面质量的影响,并与微量润滑辅助铣削、纵扭超声振动辅助铣削和传统铣削对Al-50% Si合金切削性能进行对比研究。结果表明,LTUVAM & MQL切削效果最佳,LTUVAM与MQL次之,CM最差。本研究为高硅铝合金的高效、高质量加工提供了重要参考。

关键词

高硅铝合金;纵扭超声振动;超声振动与微量润滑耦合机制;表面质量;

Mechanism and Cutting Performance of Micro Lubrication Milling Al-50% Si Alloy Assisted by Longitudinal Torsional Ultrasonic Vibration

  • XIE Zhilong
  • NIU Qiulin
  • ZHANG Yu
  • GAO Jingyi
  • WU Meiyi
School of Mechanical Engineering, Hunan University of Science and Technology, Xiangtan 411201, China

Citations

XIE Zhilong, NIU Qiulin, ZHANG Yu, et al. Mechanism and cutting performance of micro lubrication milling Al-50% Si alloy assisted by longitudinal torsional ultrasonic vibration[J]. Aeronautical Manufacturing Technology, 2026, 69(5): 25020045.

Abstract

High-silicon aluminum alloys, due to their excellent thermal conductivity and high specific strength, are crucial in aerospace thermal protection structures. However, the silicon particles within these alloys complicate machining processes. Longitudinal-torsional ultrasonic vibration-assisted minimum quantity lubrication (LTUVAM & MQL) cutting has proven effective in enhancing the machinability of homogeneous materials, but its application in high-silicon aluminum alloys requires further study. In this research, single-factor experiments were conducted to investigate how different cutting parameters affect cutting force, temperature, and workpiece surface quality during LTUVAM & MQL milling of Al-50% Si (mass fraction) alloys. Comparisons were also made between the machining performances of LTUVAM & MQL, minimum quantity lubrication (MQL) milling, longitudinal-torsional ultrasonic vibration-assisted milling (LTUVAM), and conventional milling (CM) for Al-50% Si alloys. The results indicated that LTUVAM & MQL offered the best cutting performance, followed by LTUVAM and MQL, with CM being the least effective. This study provides valuable insights and important references for improving the machining efficiency and quality of high-silicon aluminum alloys.

Keywords

High-silicon aluminium alloys; longitudinal torsional ultrasonic vibration; ultrasonic vibration coupled with microlubrication mechanism; surface quality;



高硅铝合金(硅质量分数≥3%)因其比重小、热膨胀系数低、热导率高、强度高及耐高温等优良性能[   WANG S, FU M, LI X Z, et al. Microstructure and mechanical properties of Al-Si eutectic alloy modified with Al-3P master alloy[J]. Journal of Materials Processing Technology, 2018, 255: 105-109.
1
]
,在高温高压环境下工作的航天器、火箭发动机制造中被广泛用作热防护材料。在传统铣削(Conventional milling,CM)过程中,由于高硅铝合金具有较高的硬度和强度,使得切削加工时切削热与切削力增加,严重影响工件表面质量。因此,为了更好地解决这一问题,许多研究人员针对优化加工工艺展开了研究。

微量润滑(Minimum quantity lubrication,MQL)技术是将压缩空气与微量切削液混合雾化成μm级液滴,定向喷射至刀具-工件接触界面,形成极薄润滑膜。Dhar等[   DHAR N R, KAMRUZZAMAN M, AHMED M. Effect of minimum quantity lubrication (MQL) on tool wear and surface roughness in turning AISI-4340 steel[J]. Journal of Materials Processing Technology, 2006, 172(2): 299-304.
2
]
研究得出微量润滑技术可降低切削区温度,减少刀具磨损和表面粗糙度。荆露等[   荆露, 牛秋林, 陈明, 等. 超临界CO2微量润滑铣削Al-42wt% Si合金切削加工性研究[J]. 工具技术, 2022, 56(7): 8-13.JING Lu, NIU Qiulin, CHEN Ming, et al. Study on machinability of milling Al-42wt% Si alloy by supercritical CO2 micro-lubrication[J]. Tool Engineering, 2022, 56(7): 8-13.
3
]
在加工Al-50% Si合金(Si质量分数为50%)时,发现scCO2-MQL介质能够有效去除颗粒,促进Al基体的涂覆,改善工件表面质量,但随着每齿进给量的增加,铝基体对表面的涂覆作用将逐步被破坏并产生表面撕裂,恶化表面质量。Shokrani等[   SHOKRANI A, AL-SAMARRAI I, NEWMAN S T. Hybrid cryogenic MQL for improving tool life in machining of Ti-6Al-4V titanium alloy[J]. Journal of Manufacturing Processes, 2019, 43: 229-243.
4
]
研究表明,MQL可以在低、中等切削速度下有效润滑切削区域,并减少由第二和第三变形区摩擦产生的热量,改善加工表面质量,但高速切削时,切削液难以有效进入切削区,MQL的冷却和润滑效果降低,表面质量下降。纵扭超声振动辅助铣削(Longitudinal torsional ultrasonic vibration-assisted milling,LTUVAM)是在刀具轴向与扭转方向上施加高频微幅振动,以实现刀具-工件间的周期性接触-分离。崔鑫[   崔鑫. 三维超声振动切削技术的研究[D]. 沈阳: 东北大学, 2012.CUI Xin. Research on three-dimensional ultrasonic vibration cutting technology[D]. Shenyang: Northeastern University, 2012.
5
]
通过研究得出超声振动切削的分离特性有效地降低了切削过程中切削力与切削热,大幅提高了加工精度与刀具的使用寿命,弥补了传统金属切削技术在精密加工、难加工材料加工等领域的不足。Jie等[   XU J, FENG P F, FENG F, et al. Subsurface damage and burr improvements of aramid fiber reinforced plastics by using longitudinal-torsional ultrasonic vibration milling[J]. Journal of Materials Processing Technology, 2021, 297: 117265.
6
]
通过建立AFRP切削数值模型、理论计算与开展芳纶纤维增强复合材料加工试验,发现纵扭超声振动辅助铣削能够有效地改善工件表面裂纹与亚表面损伤。陈德雄等[   陈德雄, 井绪芹. 钛合金椭圆超声振动辅助切削表面质量仿真研究[J]. 航空制造技术, 2022, 65(15): 87-94.CHEN Dexiong, JING Xuqin. Simulation study on surface quality of titanium alloy in elliptical ultrasonic vibration-assisted machining[J]. Aeronautical Manufacturing Technology, 2022, 65(15): 87-94.
7
]
在椭圆超声振动铣削试验中得出,增大X方向的振幅,可使工件表面形貌完整性更好;但Y方向振幅增大时,每个椭圆轨迹之间相交距离增大,引起工件表面形貌完整性恶化,降低工件表面质量。Li等[   SHI Z L, XIANG D H, FENG H R, et al. Finite element and experimental analysis of ultrasonic vibration milling of high-volume fraction SiCp/Al composites[J]. International Journal of Precision Engineering and Manufacturing, 2021, 22(10): 1777-1789.
8
]
采用有限元与试验相结合的方法,系统探究了高体积SiCp/Al复合材料在纵扭超声铣削过程中的加工特性,发现随着超声频率的增加,铣削刃口的比例增加,导致表面粗糙度会出现阶段性的增大,显著影响已加工表面质量。为了进一步改善工件表面质量,学者们提出了超声振动与微量润滑耦合复合加工。王大中[   王大中, 吴淑晶, 林靖朋, 等. 基于MQL的超声椭圆振动微切削Inconel718的机理研究[J]. 机械工程学报, 2021, 57(9): 264-272.WANG Dazhong, WU Shujing, LIN Jingpeng, et al. Research on ultrasonic elliptical vibration micro-cutting Inconel718 based on minimum quantity lubrication[J]. Journal of Mechanical Engineering, 2021, 57(9): 264-272.
9
]
和戎杰[   戎杰. 基于超声振动与微量润滑耦合机制的钛合金铣削表面质量研究[D]. 湘潭: 湖南科技大学, 2023.RONG Jie. Research on surface quality of titanium alloy milling based on coupling mechanism of ultrasonic vibration and minimal quantity lubrication[D]. Xiangtan: Hunan University of Science and Technology, 2023.
10
]
等在均质材料切削试验过程中发现超声振动与微量润滑耦合切削相较于常规切削,切削温度与切削力大幅度降低,表面质量得到提升,切削性能得到改善。现有研究表明,超声振动辅助微量润滑加工技术能够显著降低切削力与切削温度,并有效改善工件表面质量。但在针对高硅铝合金的超声振动辅助微量润滑加工研究尚不充分,相关报道较少。

本文旨在基于纵扭超声振动辅助微量润滑铣削(Longitudinal torsional ultrasonic vibration assisted microlubrication milling,LTUVAM & MQL)方法开展Al-50% Si合金(Al质量分数为50%)切削性能试验研究,分析纵扭超声振动辅助微量润滑耦合作用下不同切削参数对切削力、切削温度与加工表面质量的影响。同时,对比CM、MQL、LTUVAM和LTUVAM & MQL 4种加工方法下Al-50% Si合金(Si质量分数为50%)的切削加工性能,本研究结果将为高硅铝合金的高效切削加工提供技术支持。

1     纵扭超声振动辅助微量润滑铣削原理

1.1     纵扭超声振动刀尖运动轨迹

纵扭复合超声振动中,纵振与扭振分别由单一激励驱动,刀具刀尖运动轨迹如图1所示。在每个切削循环中,切削刀具从工件表面上的点A开始切削,逐渐移动至最低点B,并最终在点C处与工件分离。此后,刀具将在下一个循环时于点D处重新进行切削。因此,在每个振动切削循环中,刀具与工件在时间脉冲T(A-C)内持续接触,并在时间段T(C-D)内分离,其中,T为刀具的振动周期。

图1     纵扭超声振动刀尖运动轨迹示意图
Fig.1     Schematic diagram of longitudinal torsional ultrasonic vibration tip motion trajectory

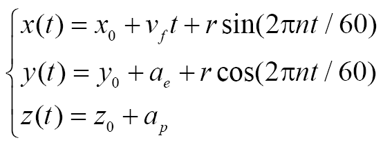
传统铣削时刀尖一点(x0y0z0)运动轨迹方程为

{x(t)=x0+vft+rsin(2πnt/60)y(t)=y0+ae+rcos(2πnt/60)z(t)=z0+ap
(1)

式中,ae为切削宽度;ap为切削深度;vf为刀具进给速度;r为刀具半径;n为主轴转速;t为铣削时间。

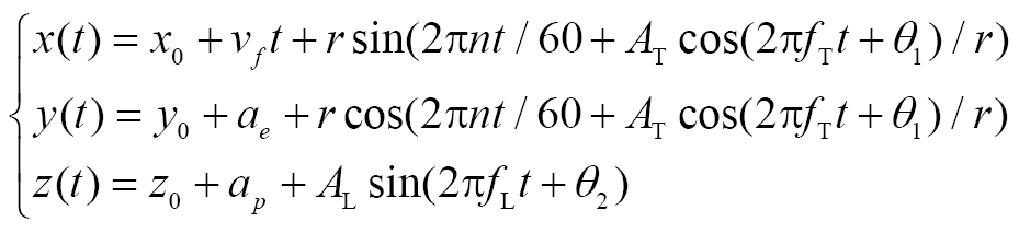
纵扭超声振动是在传统刀具运动基础上,添加了扭转振动与轴向振动。扭振与纵振为同频振动,因此,纵扭超声振动刀尖轨迹方程为

{x(t)=x0+vft+rsin(2πnt/60+ATcos(2πfTt+θ1)/r)y(t)=y0+ae+rcos(2πnt/60+ATcos(2πfTt+θ1)/r)z(t)=z0+ap+ALsin(2πfLt+θ2)
(2)

式中,fTfL分别为扭转超声振动频率和纵向超声振动频率;AT为扭转振幅;AL为纵向振幅;θ1为扭转振动初始相位;θ2为纵向振动初始相位。

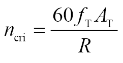
由纵扭超声振动刀尖轨迹及刀具铣削过程可知,刀具与工件在切削时,刀具会出现回转现象,减少刀具与工件的接触。刀具回转状态出现与主轴角速度(ω)和扭转超声振动角速度(ω扭振)之和有关。由式(2)可得

ω=ω+ω=2πn/602πfTATsin(2πfTt+θ1)/r
(3)

式中,ω为铣刀侧刃一点的角速度。当ω<0时,ω为负值,刀具与工件表现为分离状态;当ω>0时,刀具与工件之间的相对速度仍沿着谐波变化,但此时却是持续切削状态。因此,可求得刀具与工件的临界分离转速ncri

2πn/602πfTATsin(2πfTt+θ1)/r=0
(4)

ncri=60fTATR
(5)

由式(5)可知,随着扭转超声振动频率与扭转振幅增大,临界分离转速增大,但随着刀具半径的增大,临界分离转速减小。

1.2     MQL传热机理

在微量润滑冷却技术领域,热传递过程主要通过以下3种机制实现:第1种为雾化液滴与高温表面之间的直接热交换;第2种为高温表面向周围环境的热辐射;第3种为空气与高温表面之间的对流热传递。根据试验和理论研究[   SHEN B, SHIH A J, XIAO G X. A heat transfer model based on finite difference method for grinding[J]. Journal of Manufacturing Science and Engineering, 2011, 133(3): 031001.
11
]
,当工件表面温度低于800 ℃时,热辐射对整体热传递的贡献相对较小。因此,在该温度范围内,热辐射的影响通常可以忽略不计。在高温切削区喷射冷却介质后,切削区的温度高于冷却介质的沸点。当ΔT(ΔT为过热度,即切削区表面温度与冷却介质沸点之间的差值)大于最小温差ΔTs时,切削区处于沸腾传热过程。沸腾换热分为4个阶段,即自然对流、核态沸腾、过渡沸腾和膜态沸腾传热,如图2所示。

图2     微量润滑换热示意图
Fig.2     Schematic diagram of heat transfer in minimum quantity lubrication

不同的ΔT对应不同的阶段,根据沸腾传热机理,即产生气泡的最小沸腾程度和膜沸腾传热公式[   ZHANG J C, LI C H, ZHANG Y B, et al. Temperature field model and experimental verification on cryogenic air nanofluid minimum quantity lubrication grinding[J]. The International Journal of Advanced Manufacturing Technology, 2018, 97(1): 209-228.
12
]
,可以用下列式(6)和(7)确定切削区冷却介质的传热状态。

ΔTs=Ts2B1lg(1+2σrps)[1+TsB1lg(1+2σrps)]
(6)

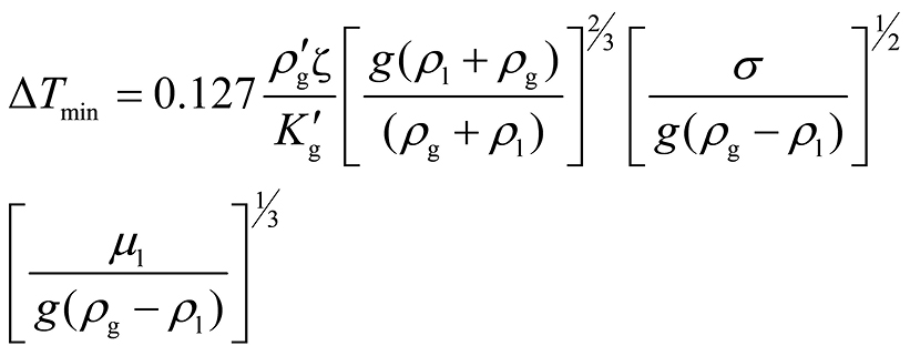
ΔTmin=0.127ρgζKg[g(ρl+ρg)(ρg+ρl)]23[σg(ρgρl)]12[μlg(ρgρl)]13
(7)

式中,ΔTs为产生气泡的最小温度与冷却介质沸点之间的差值;σ为液体表面张力;Ts为冷却介质沸点;r为毛细管内形成的凹弯月面半径,r=ρlghg为重力加速度;h为液面高度;B1为常数(B=2156);ps=0.1 MPa;ρl为液体密度;ρg为空气密度;μl为液体的动态黏度;ΔT min为膜态沸腾起始表面温度与冷却介质沸点之间的差值;ρ′g为气体薄膜密度;K′g为空气薄膜传热系数;ζ为潜热。

由式(6)和(7)可得,ΔTs=5.2 ℃,ΔT min=127 ℃,当ΔTTs,切削区的换热状态以空气强制对流换热和液体冷却介质自然对流换热为主。空气与壁面换热系数ha[   毛聪, 邹洪富, 黄勇, 等. 微量润滑平面磨削接触区换热机理的研究[J]. 中国机械工程, 2014, 25(6): 826-831.MAO Cong, ZOU Hongfu, HUANG Yong, et al. Research on heat transfer mechanism in grinding zone for MQL surface grinding[J]. China Mechanical Engineering, 2014, 25(6): 826-831.
13
]

ha=0.906Re12Pr13λa/l
(8)

式中,Re为雷诺数;Pr为普朗特数;λa为空气热导率;l为铣削长度。

冷却介质自然换热系数hl

hl=qlTwTl
(9)

式中,ql为冷却介质流量;Tw为壁面温度;Tl为冷却介质温度。

自然对流阶段总换热系数h

h=ha+hl
(10)

当ΔTsTTsTC时,切削区处于核态沸腾换热状态,ΔTc为核态沸腾换热与ΔTs的温差,在本研究中ΔTc=107 ℃。核态沸腾是一种高效的换热机制,其特征是流体在热表面上形成蒸汽泡,这些气泡随后上升并破裂,从而有效增强热量的传递。当ΔTsTcT<T min时,切削区处于过度沸腾换热状态,这一状态标志着换热效率的转变,其中,蒸汽泡的合并与液膜的形成,减少了热表面的直接接触面积,导致换热效率逐渐降低。随着壁温的升高,核态沸腾区换热系数也随之增大,在过度沸腾区起始点达到最大,称为临界热流密度点hn2[   MAO C, ZOU H F, HUANG Y, et al. Analysis of heat transfer coefficient on workpiece surface during minimum quantity lubricant grinding[J]. The International Journal of Advanced Manufacturing Technology, 2013, 66(1): 363-370.
14
]

hn2=[hfa+cl(TsTl)]Qρlπrsurf2(Tn2Tl)+ha
(11)

式中,hfa为汽化潜热;cl为冷却介质的比热容;Ts为饱和温度;Tn2为过渡沸腾传热的起始点温度;Q′为每单位切削时间的冷却介质供应量;rsurf为单个液滴的铺展半径。

当ΔT>T min时,切削区处于膜态沸腾传热状态。在这种状态下,液体不会形成大量的蒸汽泡,而是在热表面和液体之间形成一个连续的蒸汽膜,这种蒸汽膜的存在显著降低了热传递效率。其传热主要包括液滴与热表面的换热、空气流与热表面的对流换热。

单个雾滴与壁面换热量[   DEB S, YAO S C. Analysis on film boiling heat transfer of impacting sprays[J]. International Journal of Heat and Mass Transfer, 1989, 32(11): 2099-2112.
15
]

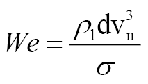
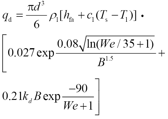
qd=πd36ρl[hfa+cl(TsTl)] · [0.027exp0.08ln(We/35+1)B1.5+0.21kdBexp90We+1]
(12)

We=ρldvn3σ
(13)

B2=cv(TwTs)hfa
(14)

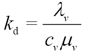
kd=λvcvμv
(15)

式中,We为韦伯数;B2为铣削宽度;kd为流体导热率;λv为蒸汽的导热率;cv为蒸汽的质量热容;µv为蒸汽的动力黏度。

单位面积上液滴在单位时间碰撞壁面引起的换热量[   毛聪, 邹洪富, 黄勇, 等. 微量润滑平面磨削接触区换热机理的研究[J]. 中国机械工程, 2014, 25(6): 826-831.MAO Cong, ZOU Hongfu, HUANG Yong, et al. Research on heat transfer mechanism in grinding zone for MQL surface grinding[J]. China Mechanical Engineering, 2014, 25(6): 826-831.
13
]

qd=qdn
(16)

n=6QlSπd3
(17)

式中,Q为单位时间质量;d为液滴直径;S为喷嘴喷射覆盖面积;Tn3为膜沸腾态传热起始温度。

综上所述,膜态沸腾传热阶段总换热系数为

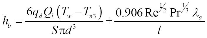
hb=qdTwTn3+ha
(18)

hb=6qdQl(TwTn3)Sπd3+0.906Re12Pr13λal
(19)

根据式(19)可知,随着单个雾滴与壁面换热量、单位时间质量、壁面温度与膜沸腾态传热起始温度的差值和空气热导率的增加,总换热系数增大,冷却润滑效果增强,提高工件加工质量。随着喷射覆盖面积、液滴直径和铣削长度的增加,总换热系数减小,冷却润滑效果减弱,降低加工质量。

1.3     LTUVAM & MQL力-热耦合机理分析

在LTUVAM & MQL过程中,切削液通过细小喷嘴喷射,利用文丘里效应[   HAN S, HUANG Y X, HUANG T L, et al. Study on bubble collapse mechanism in aeration system based on venturi cavitation effect[J]. Process Safety and Environmental Protection, 2024, 185: 940-946.
16
]
使液滴产生初步的雾化现象。当初步雾化的液滴接触刀具表面时,在刀具的高频振动作用下,发生超声空化效应[   WANG Y, FAN L F, SHI J, et al. Effect of cavitation on surface formation mechanism of ultrasonic vibration-assisted EDM[J]. The International Journal of Advanced Manufacturing Technology, 2023, 124(10): 3645-3656.
17
]
,液滴内部形成大量微小气泡,这些气泡随着超声波的振荡而振荡、膨胀、收缩,并最终塌缩为更小的气泡,进而实现二次雾化现象,提高雾滴润滑与冷却效果。

LTUVAM的运动轨迹揭示出该过程包含4个主要阶段:周期性接触阶段、持续冲击阶段、变速阶段和熨压阶段。在周期性接触与分离阶段,经过二次雾化的切削雾滴能够更好地渗透到切削区的微小空隙中,从而提供有效的润滑和冷却作用,带走大量切削热。此外,液滴的流动性有助于清除已加工表面上的切屑,减少切屑对已加工表面造成的二次损伤,从而降低表面缺陷的发生概率。在持续冲击阶段,刀具以极高的速度切入工件,产生巨大的瞬时冲击力,当刀具与Si颗粒发生碰撞时,在其周围区域形成应力集中,产生大量切削热,致使工件表面温度迅速升高,引发材料的热软化,从而降低切削力。在变速阶段,切屑的破碎与排除得到进一步促进,此时,MQL的应用可加速切屑的清除,进一步提升加工效率,同时,LTUVAM的周期性往复运动使得刀具对已加工表面进行持续的往复熨压,细小的雾滴能够在已加工表面形成一层保护膜,减少刀具与工件表面之间的摩擦,降低切削温度,从而有效提高加工精度与表面质量[   XIANG D H, SU B, WANG D Z, et al. Ultrasonic longitudinal-torsional vibration helical milling internal thread of SiCp/Al composites: Finite element simulation and machining quality research[J]. Journal of Manufacturing Processes, 2024, 131: 1833-1845.
18
]

MQL传热机理分析,当切削区处于核态沸腾换热阶段时,热表面上会形成蒸汽泡,气泡的破裂过程显著促进了热量的传递,从而达到最佳的传热效果。引入LTUVAM后,超声波振动沿液滴传播方向产生周期性的压缩与拉伸效应[   NIU Q L, DAI F P, JING L, et al. Study on the processing performance of 60% SiCp/Al composite materials assisted by longitudinal and torsional ultrasonic vibration milling[J]. The International Journal of Advanced Manufacturing Technology, 2024, 135(1): 247-266.
19
]
,导致液滴表面产生周期性的压力波动。这种压力波动在液滴周围诱发剪切应力,能够有效破坏液滴的表面张力,促进液滴破裂与雾化,从而显著提高传热效率。此外,LTUVAM的纵向振动产生高频振动加速气泡脱离,降低气膜覆盖率;扭转振动则通过周向剪切应力干扰气泡合并,维持离散气泡分布避免液膜扩展[   陈真真, 陈洪强, 黄磊, 等. 超声波强化换热研究进展[J]. 工程科学学报, 2022, 44(12): 2164-2176.CHEN Zhenzhen, CHEN Hongqiang, HUANG Lei, et al. Research progress on the intensification of heat transfer by ultrasound[J]. Chinese Journal of Engineering, 2022, 44(12): 2164-2176.
20
]
,有效抑制了过渡沸腾传热阶段的发生,有助于维持高效的核态沸腾换热过程,进一步降低切削力与切削温度,改善工件表面质量。

2     试验方案

2.1     工件材料与刀具

本文所采用的工件材料为Si颗粒质量分数为50%的硅铝合金(Al-50% Si),其物理力学性能如表1所示。工件为30 mm×15 mm×12 mm块料。采用金鹭公司生产的四刃整体硬质合金TiAlN涂层铣刀(刀具牌号为SS600-S4-08020),刀具螺旋刃长20 mm、螺旋角37°、侧刃前角5°、侧刃后角9°、直径8 mm。

表1     Al-50% Si合金物理力学性能
Table 1     Physical and mechanical properties of Al-50% Si
工件 热膨胀系数(25 ℃)/℃-1 导热率25 ℃/(W/(m·K)) 密度/(g/cm3 抗拉强度/MPa 屈服强度/MPa 泊松比 延伸率/% 弹性模量/GPa
Al-50% Si 11.5×10-6 140 2.5 220 210 0.28 <1 108

2.2     试验设计

本研究所有试验在KVC800立式加工中心上进行。MQL润滑冷却系统与纵扭超声振动系统安装在立式加工中心上。其中,冷却润滑系统采用两个外置喷嘴,同进给方向的夹角分别为90°和70°,润滑系统气压为4.8 Mpa,流量为92 ml/h。超声振动系统主要由超声电源、超声电能传输装置、双激励换能器及变幅杆组成,刀具沿着轴向与扭转方向进行高频振动。超声振动频率为34.7 kHz,振幅为3.4 µm。主轴转速为500~4000 r/min。铣削试验为顺铣,试验装置如图3所示。

图3     试验设备
Fig.3     Experimental equipment

采用单因素方法研究LTUVAM & MQL加工Al-50% Si合金时不同切削参数对切削力、切削温度及表面粗糙度等的影响,并与CM、LTUVAM和MQL条件下获得的Al-50% Si合金切削性能进行对比研究。铣削试验参数如表2所示。采用Kistler9257B测力仪实时测量铣削过程中的三向切削力FxFyFz。利用FOTRIC 220s型红外测温仪测量切削温度,测量范围设置为0~1000 ℃。试验结束后,采用JITAI820表面粗糙度仪测量工件已加工表面粗糙度,每组切削参数下重复测量5次,结果取平均值。

表2     硅铝合金铣削加工试验参数
Table 2     Experimental parameters for milling of high silica aluminium alloy
切削速度/(m/min) 每齿进给量/(mm/z) 切削深度/mm 超声振幅/µm 切削宽度/mm 喷射流量/(mL/h) 加工方式
20/40/60/80/100 0.025 2 3.4 2 92 LTUVAM & MQL
40 0.005/0.015/0.025/0.035/0.045 2 3.4 2 92 LTUVAM & MQL
40 0.025 1/1.5/2/2.5/3 3.4 2 92 LTUVAM & MQL
40 0.025 2 0 2 92 MQL
40 0.025 2 3.4 2 0 LTUVAM
40 0.025 2 0 2 0 CM

3     结果与分析

3.1     切削力

不同每齿进给量、切削深度与切削速度下切削力变化如图4所示。随着每齿进给量与切削深度的增加FxFyFz也随之增加,这是因为刀具与工件材料的接触面积增大,刀具与更多的Si颗粒接触,产生较大的二体及三体摩擦,阻力变大,刀具发生颤动,导致振动效果减弱,MQL雾滴撞击刀具产生的二次雾化效果变差,致使切削区切削力增大,如图4(a)和(b)所示。

图4     LTUVAM & MQL加工获得的切削力变化趋势
Fig.4     Trends in cutting forces obtained from LTUVAM & MQL operations

随着切削速度的增加,FxFyFz的变化趋势有所差异,如图4(c)所示。根据式(5)计算,刀具与工件的临界分离速度为48.9 m/min。当切削速度由20 m/min增加到60 m/min时,切削力随之增大,这是因为切削速度增加,材料应变率增大,单位时间材料去除体积增大,刀具与Si颗粒接触概率增加,而在刀具与颗粒碰撞时会产生大量的切削力。当切削速度超过60 m/min时,随着切削速度的增加,切削力逐渐减小,这主要是因为刀具与工件由分离式切削转变为持续冲击切削,净切削时间增加,降低了雾滴进入切削区域的数量,而刀具的高速旋转形成的空气屏障阻碍了MQL雾滴进入加工区域,热量不能及时地被带出,热软化作用增强,从而降低了切削力。

在每齿进给量为0.025 mm/z,切削速度为40 m/min,切削深度为2 mm下,不同加工方式铣削Al-50% Si合金的切削力变化如图5所示。无论在xyz的哪一个方向,LTUVAM、MQL与LTUVAM & MQL铣削力均低于CM。相比于CM,LTUVAM切削力降低约38.3%;MQL切削力降低约34.1%;LTUVAM & MQL切削力降低约45.6%。其中,LTUVAM降低切削力的机制在于加入超声振动后,刀具与工件的接触状态由持续冲击转换为周期性分离,刀具净切削时间缩短,并且刀具高频振动所引发的冲击作用促进了局部塑性变形,形成软化效应[   CUI F J, ZHANG H, YANG M H, et al. Multiscale simulation and experimental study on ultrasonic vibration assisted machining of SiCp/Al composites considering acoustic softening[J]. Journal of Materials Processing Technology, 2025, 335: 118649.
21
]
,降低材料的流动应力,致使切削力下降。采用MQL加工时,润滑液渗入刀-工具接触界面,有效降低接触界面的摩擦系数,从而增大剪切角,进一步降低切削力。在LTUVAM & MQL加工时,MQL喷射出的雾滴到达刀具表面后,在超声雾化作用下进一步细化,细化后的雾滴到达切削区域后,在刀具高频振动作用下加速渗透到刀具-切屑接触界面,并提供足够的润滑,从而可降低切削力。因此,LTUVAM & MQL加工方式为降低切削力提供了良好的工艺条件。

图5     不同加工方式下切削力变化
Fig.5     Changes of cutting force under different machining methods

3.2     切削温度

在LTUVAM & MQL铣削过程中,随着切削速度的增加,切削温度呈现出递增的趋势,如图6(a)所示。这一趋势主要归因于切削速度的提升加剧了材料的剪切作用,从而产生了更多的剪切热和摩擦热,这些热能的累积导致了切削温度的升高。特别指出,当切削速度从40 m/min增加到60 m/min时,切削温度出现了显著的跃升。当切削速度超出这一阈值,刀具与工件之间的周期性接触和分离不再发生,阻碍了切削液进入切削区域,进而影响刀具的热传递效率,最终导致切削温度的急剧上升。

图6     LTUVAM & MQL加工获得的切削温度变化趋势
Fig.6     Trends in cutting temperatures obtained by LTUVAM & MQL operations

随着每齿进给量的增加,切削温度也相应升高,如图6(b)所示。这一现象主要归因于进给量的增加导致刀具与工件之间的接触面积扩大,从而在单位时间内的材料去除量也随之增加。这种变化在切削区域内产生了更大的变形阻力,进而导致摩擦热的增加,使切削温度上升。特别注意,当每齿进给量由0.005 mm/z增至0.035 mm/z时,温度上升的趋势较为平缓。这是因为此阶段切削区域处于核态沸腾换热阶段,换热系数随着壁面温度的升高而增大,且在LTUVAM & MQL的影响下,高频振动加速切屑从加工区域流出,带走一部分热量,温度骤增趋势得以抑制。然而,当每齿进给量从0.035 mm/z增加到0.045 mm/z时,切削区由核态沸腾换热转变为过渡沸腾换热,换热面积减少,换热系数降低。随着刀具每齿所切除的材料体积达到最大值,此时切削液的流动效果受到抑制,切屑无法及时排出切削区域,导致切削温度出现显著骤升。

随着铣削深度的增加,Z向铣削力增加,导致切削热量的增加如图6(c)所示。尽管散热面积也会随铣削深度的增加而增加,从而对热量的散发产生一定的缓解作用,但这两者之间的相互作用并不能完全抵消。与此同时,增加铣削深度会显著降低工件的振幅,同时也会导致前刀面的摩擦系数上升,这种摩擦系数的增加会加剧铣削过程中工件的塑性变形,从而导致铣削温度的进一步升高。

在每齿进给量为0.025 mm/z、切削速度为40m/min、切削深度为2 mm下,不同加工方式的温度如图7所示,4种切削条件下的切削温度排序为LTUVAM &MQL<MQL<LTUVAM<CM。相比于CM,MQL切削温度降低约27.2%;LTUVAM切削温度降低约21.6%;LTUVAM & MQL切削温度降低约35.8%。其中,LTUVAM产生的切削温度低于CM,这是因为超声振动引起的高频振动波能够在刀具与工件接触区域产生微观的周期性振动,这种振动效应促使切削区域的热量迅速扩散。振动引起的局部微观位移可以打破热量在刀具和工件之间的积聚[   GAO H H, MA B J, ZHU Y P, et al. Enhancement of machinability and surface quality of Ti-6Al-4V by longitudinal ultrasonic vibration-assisted milling under dry conditions[J]. Measurement, 2022, 187: 110324.
22
]
,从而加速热量的传导,降低切削区的温度。采用MQL加工时,到达切削区的混合雾滴在高温作用下迅速蒸发汽化,带走大量的热,进一步降低了切削温度。而在使用LTUVAM & MQL时产生的切削温度最低,这是由于超声振动的往复熨压使切削液更均匀地覆盖在已加工表面,且Al基体表面的裂纹与Si颗粒的剥落有利于切削液的存储,提高了冷却、润滑效果,降低了摩擦并增强了切削区域对流换热,减少了热积累。综上所述,LTUVAM & MQL加工为硅铝合金的铣削提供了良好的冷却和润滑条件。

图7     不同加工方式下切削温度变化
Fig.7     Variation of cutting temperature under different machining modes

3.3     表面粗糙度

LTUVAM & MQL方法在不同切削深度、每齿进给量、切削速度下的表面粗糙度变化如图8所示。图8(a)表明,在其他切削参数一定时,随每齿进给量增加,切削面积增大,材料去除率增大,切削力与切削温度的增加,反致使刀具发生不规则振动,导致表面粗糙度增大。除此之外,每齿进给量增加会使工件切削不够充分,导致切削残余面积增大,进一步增大表面粗糙度。

图8     LTUVAM & MQL加工获得的表面粗糙度变化趋势
Fig.8     Trend of surface roughness obtained by LTUVAM & MQL process

图8(b)可以看出,随着切削深度增加,单位时间内的切削厚度增加,阻力增大,刀具振动效果减弱,导致刀具切削稳定性下降,且随着切削深度的增加,切削温度逐渐上升,部分细小雾滴被蒸发,冷却润滑效果降低,MQL喷射的雾滴到达切削区域的时间增大,渗透效果减弱,因此LTUVAM & MQL效果被削弱,表面粗糙度增大。

切削速度从20 m/min增大到60 m/min时如图8(c)所示,在刀具周期性分离作用下,使Si颗粒被压入并在刀具的推挤下产生犁耕现象的概率增加,加工条件恶化,导致表面粗糙度增加。当切削速度超过60 m/min时,刀具转换为持续冲击作用,材料去除率增加,颗粒破碎细化程度高,减小了表面粗糙度。

在每齿进给量为0.025 mm/z,切削速度为40 m/min,切削深度为2 mm的条件下,不同加工方式的表面粗糙度如图9所示。4种切削条件下的表面粗糙度,排序依次为LTUVAM & MQL<LTUVAM<MQL<CM。相比于CM,LTUVAM的表面粗糙度降低约47.8%,MQL表面粗糙度降低约10.9%,LTUVAM & MQL表面粗糙度降低约58.5%。CM刀具剪切作用较弱,部分区域内颗粒切削不完全出现犁耕作用并产生大孔洞,使得表面粗糙度增大。LTUVAM在Al基体去除过程中,由于刀具独特的运动轨迹,使得已加工表面形成均匀的鱼鳞状纹路,弱化孔洞所造成的负面影响,进一步减小了表面粗糙度。采用MQL加工时,润滑液的流动性能有效地带走已加工表面残留的微小切屑碎片与抑制刀刃附近材料的积累,进而降低表面粗糙度。采用LTUVAM & MQL时,刀具的高频振动使得后刀面对已加工表面产生超声熨压效应[   PENG Z L, ZHANG X Y, ZHANG D Y. Improvement of Ti-6Al-4V surface integrity through the use of high-speed ultrasonic vibration cutting[J]. Tribology International, 2021, 160: 107025.
23
]
可以改善残留高度,但熨压过程中的摩擦环境较为恶劣,MQL恰好弥补了这个缺点。超声空化后的雾滴能更好地进入切削区,为熨压表面提供润滑膜,降低接触表面的摩擦系数,减小切削力与切削温度,材料去除更加完全,颗粒破碎细化程度高,进一步降低表面粗糙度。当LTUVAM & MQL处理后的材料被用于航空器热防护结构时,其超低表面粗糙度可减少热量传递,提升材料耐久性,增强结构稳定性,在高温环境下更有效地保护航空器内部组件,延长使用寿命,确保可靠性和安全性,从而整体提升航空器性能与运行效率。

图9     不同加工方式下粗糙度变化
Fig.9     Variation of roughness under different machining methods

3.4     表面形貌

Al-50% Si合金材料的Si颗粒与Al基体在物理和力学性能上存在显著差异,尤其是在导热性、热膨胀系数及塑韧性方面。在切削过程中,这些差异导致基体与增强相协同变形,从而形成特定的已加工表面结构。同时,材料的不均匀性使工件表面强度较低,易产生微裂纹、凹坑、基体涂覆、颗粒破碎等缺陷。

在每齿进给量为0.025 mm/z,切削速度为40m/min,切削深度为2 mm的条件下,不同加工方法获得的几种典型的已加工表面,如图10所示。可以观察到CM已加工表面上存在大量的进给刀痕和孔洞、颗粒破碎、材料侧流、基体涂覆、切屑黏结等缺陷,这是因为CM的持续冲击切削产生大量的切削热与切削应力,导致Al基体软化,颗粒易于拔出,形成孔洞,而持续冲击使颗粒附近集中大量应力,致使颗粒破碎。相对于CM,LTUVAM、MQL的已加工表面得到了一定的改善,只存在少量的颗粒破碎、孔洞。这主要是因为超声振动的间歇效应减小了应力集中与已加工表面的二次损伤。值得注意的是,在超声振动辅助时,由于颗粒大部分体积位于切削路径之下,颗粒易被压入且在后刀面作用下产生犁沟。而孔洞与裂纹为微量润滑切削液的存储提供了便利条件,有利于在已加工表面形成保护膜,改善后刀面的熨压环境。在LTUVAM辅助MQL加工过程中,所获得的表面形貌表现出最佳特征,这一现象可归因于雾状切削液在刀具高频振动作用下的进一步细化。在刀具与工件分离阶段,大量切削液能够有效地流入和流出切削区域,从而带走大量切屑和热量,防止切屑黏结。此外,在刀具反转阶段,少量雾滴撞击刀具高速旋转所形成的空气屏障发生反弹,部分雾滴进入切削区,在下个周期刀-切屑接触区提前形成保护膜,有效减小了刀具与工件之间的摩擦,从而进一步提升了表面质量。

图10     不同加工方式表面形貌
Fig.10     Surface morphology of different processing methods

4     结论

纵扭超声振动辅助微量润滑加工方法结合了超声振动分离特性与微量润滑冷却、润滑特性,这些特性的协同配合有助于改善Al-50% Si合金表面质量。通过对比不同加工方法及其在不同切削参数下,对Al-50% Si合金铣削性能影响,得出以下结论。

(1)在使用LTUVAM & MQL方法加工Al-50% Si合金时,宜采用低切削参数,因为高进给量、切削速度与切削深度会导致刀具与工件接触由周期性分离状态转变为持续冲击状态,切削力增大。此外,切削区域的换热机制由高效的核态沸腾阶段转变为过渡沸腾阶段,会导致换热系数降低,从而引起切削温度的升高。

(2)在Al-50% Si合金铣削过程中,与CM相比,MQL的切削力降低34.1%,切削温度和表面粗糙度分别降低27.2%和10.9%;LTUVAM的切削力降低38.3%,切削温度和表面粗糙度分别降低21.6%和47.8%;LTUVAM & MQL的切削力降低45.6%,切削温度和表面粗糙度分别降低35.9%和58.5%。优化切削条件有助于提高切削性能。

(3)CM的加工表面存在大量的进给刀痕和切屑黏结等表面缺陷。MQL下的表面出现大量的基体涂覆,且润滑液的流动性抑制了切屑黏结。LTUVAM中产生的规则鱼鳞状结构有利于提高表面性能,但由于颗粒压入与后刀面熨压致使加工表面出现犁沟等表面缺陷。采用LTUVAM & MQL方法加工时得到的工件表面粗糙度最小,这是由于切削介质的加入,超声熨压环境得到明显提升,部分孔洞和犁沟被Al基体填充,已加工表面性能得到明显的提升。

参考文献

[1]

WANG S, FU M, LI X Z, et al. Microstructure and mechanical properties of Al-Si eutectic alloy modified with Al-3P master alloy[J]. Journal of Materials Processing Technology, 2018, 255: 105-109.

[2]

DHAR N R, KAMRUZZAMAN M, AHMED M. Effect of minimum quantity lubrication (MQL) on tool wear and surface roughness in turning AISI-4340 steel[J]. Journal of Materials Processing Technology, 2006, 172(2): 299-304.

[3]

荆露, 牛秋林, 陈明, . 超临界CO2微量润滑铣削Al-42wt% Si合金切削加工性研究[J]. 工具技术, 2022, 56(7): 8-13.
JING Lu, NIU Qiulin, CHEN Ming, et al. Study on machinability of milling Al-42wt% Si alloy by supercritical CO2 micro-lubrication[J]. Tool Engineering, 2022, 56(7): 8-13.

[4]

SHOKRANI A, AL-SAMARRAI I, NEWMAN S T. Hybrid cryogenic MQL for improving tool life in machining of Ti-6Al-4V titanium alloy[J]. Journal of Manufacturing Processes, 2019, 43: 229-243.

[5]

崔鑫. 三维超声振动切削技术的研究[D]. 沈阳: 东北大学, 2012.
CUI Xin. Research on three-dimensional ultrasonic vibration cutting technology[D]. Shenyang: Northeastern University, 2012.

[6]

XU J, FENG P F, FENG F, et al. Subsurface damage and burr improvements of aramid fiber reinforced plastics by using longitudinal-torsional ultrasonic vibration milling[J]. Journal of Materials Processing Technology, 2021, 297: 117265.

[7]

陈德雄, 井绪芹. 钛合金椭圆超声振动辅助切削表面质量仿真研究[J]. 航空制造技术, 2022, 65(15): 87-94.
CHEN Dexiong, JING Xuqin. Simulation study on surface quality of titanium alloy in elliptical ultrasonic vibration-assisted machining[J]. Aeronautical Manufacturing Technology, 2022, 65(15): 87-94.

[8]

SHI Z L, XIANG D H, FENG H R, et al. Finite element and experimental analysis of ultrasonic vibration milling of high-volume fraction SiCp/Al composites[J]. International Journal of Precision Engineering and Manufacturing, 2021, 22(10): 1777-1789.

[9]

王大中, 吴淑晶, 林靖朋, . 基于MQL的超声椭圆振动微切削Inconel718的机理研究[J]. 机械工程学报, 2021, 57(9): 264-272.
WANG Dazhong, WU Shujing, LIN Jingpeng, et al. Research on ultrasonic elliptical vibration micro-cutting Inconel718 based on minimum quantity lubrication[J]. Journal of Mechanical Engineering, 2021, 57(9): 264-272.

[10]

戎杰. 基于超声振动与微量润滑耦合机制的钛合金铣削表面质量研究[D]. 湘潭: 湖南科技大学, 2023.
RONG Jie. Research on surface quality of titanium alloy milling based on coupling mechanism of ultrasonic vibration and minimal quantity lubrication[D]. Xiangtan: Hunan University of Science and Technology, 2023.

[11]

SHEN B, SHIH A J, XIAO G X. A heat transfer model based on finite difference method for grinding[J]. Journal of Manufacturing Science and Engineering, 2011, 133(3): 031001.

[12]

ZHANG J C, LI C H, ZHANG Y B, et al. Temperature field model and experimental verification on cryogenic air nanofluid minimum quantity lubrication grinding[J]. The International Journal of Advanced Manufacturing Technology, 2018, 97(1): 209-228.

[13]

毛聪, 邹洪富, 黄勇, . 微量润滑平面磨削接触区换热机理的研究[J]. 中国机械工程, 2014, 25(6): 826-831.
MAO Cong, ZOU Hongfu, HUANG Yong, et al. Research on heat transfer mechanism in grinding zone for MQL surface grinding[J]. China Mechanical Engineering, 2014, 25(6): 826-831.

[14]

MAO C, ZOU H F, HUANG Y, et al. Analysis of heat transfer coefficient on workpiece surface during minimum quantity lubricant grinding[J]. The International Journal of Advanced Manufacturing Technology, 2013, 66(1): 363-370.

[15]

DEB S, YAO S C. Analysis on film boiling heat transfer of impacting sprays[J]. International Journal of Heat and Mass Transfer, 1989, 32(11): 2099-2112.

[16]

HAN S, HUANG Y X, HUANG T L, et al. Study on bubble collapse mechanism in aeration system based on venturi cavitation effect[J]. Process Safety and Environmental Protection, 2024, 185: 940-946.

[17]

WANG Y, FAN L F, SHI J, et al. Effect of cavitation on surface formation mechanism of ultrasonic vibration-assisted EDM[J]. The International Journal of Advanced Manufacturing Technology, 2023, 124(10): 3645-3656.

[18]

XIANG D H, SU B, WANG D Z, et al. Ultrasonic longitudinal-torsional vibration helical milling internal thread of SiCp/Al composites: Finite element simulation and machining quality research[J]. Journal of Manufacturing Processes, 2024, 131: 1833-1845.

[19]

NIU Q L, DAI F P, JING L, et al. Study on the processing performance of 60% SiCp/Al composite materials assisted by longitudinal and torsional ultrasonic vibration milling[J]. The International Journal of Advanced Manufacturing Technology, 2024, 135(1): 247-266.

[20]

陈真真, 陈洪强, 黄磊, . 超声波强化换热研究进展[J]. 工程科学学报, 2022, 44(12): 2164-2176.
CHEN Zhenzhen, CHEN Hongqiang, HUANG Lei, et al. Research progress on the intensification of heat transfer by ultrasound[J]. Chinese Journal of Engineering, 2022, 44(12): 2164-2176.

[21]

CUI F J, ZHANG H, YANG M H, et al. Multiscale simulation and experimental study on ultrasonic vibration assisted machining of SiCp/Al composites considering acoustic softening[J]. Journal of Materials Processing Technology, 2025, 335: 118649.

[22]

GAO H H, MA B J, ZHU Y P, et al. Enhancement of machinability and surface quality of Ti-6Al-4V by longitudinal ultrasonic vibration-assisted milling under dry conditions[J]. Measurement, 2022, 187: 110324.

[23]

PENG Z L, ZHANG X Y, ZHANG D Y. Improvement of Ti-6Al-4V surface integrity through the use of high-speed ultrasonic vibration cutting[J]. Tribology International, 2021, 160: 107025.

目录