变体折叠机翼柔性蒙皮结构优化设计和试验研究

基金项目

HJ专项项目(30203020708)

中图分类号:

V224

文献标识码:

A

通信作者

孟凡星,高级工程师,研究方向为飞机强度设计。

编辑

责编 :晓月

流转信息

收稿日期 : 2025-11-03

退修日期 : 2025-11-26

录用日期 : 2025-12-26

引用格式

引文格式:张音旋, 孟凡星, 许镇勇. 变体折叠机翼柔性蒙皮结构优化设计和试验研究[J]. 航空制造技术, 2026, 69(5): 25010165.

Optimization Design and Experimental Study on Flexible Skin Structure of Morphing Foldable Wing

Citations

ZHANG Yinxuan, MENG Fanxing, XU Zhenyong. Optimization design and experimental study on flexible skin structure of morphing foldable wing[J]. Aeronautical Manufacturing Technology, 2026, 69(5): 25010165.

航空制造技术    第69卷    第5期    58-67
Aeronautical Manufacturing Techinology    Vol.69    No.5 : 58-67
DOI: 10.16080/j.issn1671-833x.25010165
论坛 >> 智能变体飞行器(FORUM >> Intelligent Morphing Aircraft)

变体折叠机翼柔性蒙皮结构优化设计和试验研究

  • 张音旋 1,2,3
  • 孟凡星 2,3
  • 许镇勇 2,3
1.北京航空航天大学航空科学与工程学院北京 100083
2.中国航空工业集团有限公司沈阳飞机设计研究所沈阳 110035
3.辽宁省飞行器结构强度数字孪生重点实验室沈阳 110035

通信作者

孟凡星,高级工程师,研究方向为飞机强度设计。

基金项目

HJ专项项目(30203020708)

中图分类号:

V224

文献标识码:

A

流转信息

收稿日期 : 2025-11-03     退修日期 : 2025-11-26     录用日期 : 2025-12-26     

引用格式

引文格式:张音旋, 孟凡星, 许镇勇. 变体折叠机翼柔性蒙皮结构优化设计和试验研究[J]. 航空制造技术, 2026, 69(5): 25010165.

摘要

柔性蒙皮是飞行器变体结构的关键技术之一,不仅需要具备大变形能力,还必须有较强的法向气动载荷承载能力。金属骨架增强橡胶复合柔性蒙皮是一种兼顾大变形与高承载能力的有效方案,其设计难点在于协调骨架结构的大变形能力与法向承载性能之间的矛盾。因此,本文针对U型蜂窝骨架结构,建立了拉伸变形量与结构最大应变之间的理论模型,以及法向力作用下的面外挠度模型。结合SLSQP优化算法,根据特定工况下蒙皮的性能要求,以面外挠度为边界条件,最小应变为优化目标,对骨架的几何尺寸进行优化,获得了满足变形和承载能力需求的最优几何尺寸。结果表明,无论优化模型的初始值如何,优化过程均能收敛至相同的最优解,验证了U型蜂窝骨架结构尺寸参数优化的可行性和有效性。

关键词

变体飞行器;柔性蒙皮;蜂窝结构;零泊松比;结构优化;

Optimization Design and Experimental Study on Flexible Skin Structure of Morphing Foldable Wing

  • ZHANG Yinxuan 1,2,3
  • MENG Fanxing 2,3
  • XU Zhenyong 2,3
1.School of Aeronautic Science and Engineering, Beihang University, Beijing 100083, China
2.AVIC Shenyang Aircraft Design and Research Institute, Shenyang 110035, China
3.Key Laboratory of Digital Twin for Aircraft Structural Strength, Liaoning Province, Shenyang 110035, China

Citations

ZHANG Yinxuan, MENG Fanxing, XU Zhenyong. Optimization design and experimental study on flexible skin structure of morphing foldable wing[J]. Aeronautical Manufacturing Technology, 2026, 69(5): 25010165.

Abstract

Flexible skin is one of the key technologies for morphing structures in aircraft, requiring not only the ability to undergo large deformations but also the capability to carry significant normal aerodynamic loads. A metal skeleton-enhanced rubber composite flexible skin structure is an effective solution, where the skeleton reinforcement support structure must possess both large deformation and normal load-bearing characteristics. This paper focuses on U-shaped honeycomb skeleton structures, establishing theoretical models for the relationship between the tensile deformation of the skeleton structure and the maximum strain, as well as the deflection of the structure under normal force. By combining the SLSQP optimization algorithm, the geometric dimensions of the skeleton are optimized based on the performance requirements of the skin under specific operating conditions, using out-of-plane deflection as the boundary condition and minimum strain as the optimization objective. The optimization process yielded the optimal geometric dimensions that meet the requirements for deformation and load-bearing capacity. Results show that, regardless of the initial values of the optimization model, the optimization process consistently converges to the same optimal solution, validating the feasibility and effectiveness of the size parameter optimization of U-shaped honeycomb skeleton structures.

Keywords

Morphing aircraft; Flexible skin; Honeycomb structure; Zero Poisson’s ratio; Structural optimization;



变体飞行器能够根据不同的飞行状态调整外形,以提升气动性能[   陆宇平, 何真, 吕毅, 等. 变体飞行器技术[J]. 航空制造技术, 2008, 51(22): 26-29.LU Yuping, HE Zhen, LÜ Yi, et al. Morphing aircraft technology[J]. Aeronautical Manufacturing Technology, 2008, 51(22): 26-29.
1
]
。其中,能够平滑连续变形的柔性机翼是实现变体的主要形式。与普通固定翼仅针对在特定工况下优化飞行性能不同,柔性机翼可以通过改变气动外形,确保不同工况下的气动效率和机动性能达到最佳。其优势[   THILL C, ETCHES J, BOND I, et al. Morphing skins[J]. The Aeronautical Journal, 2008, 112(1129): 117-139.
2
]
包括:(1)提升飞行性能,扩大飞行包线;(2)以柔性机翼替代传统的飞行控制面,增强隐身性;(3)减小飞行阻力,增加航程;(4)减少振动和噪声,提高飞行舒适度与安全性。

柔性蒙皮是变体飞行器的关键技术之一,用于实现变体机翼大变形,同时提供足够的刚度和强度以承受局部气动载荷。目前柔性蒙皮通常分为两类:(1)基于材料弹性的柔性蒙皮;(2)基于结构的柔性蒙皮[   尹维龙, 石庆华. 变体飞行器蒙皮材料与结构研究综述[J]. 航空制造技术, 2017, 60(17): 24-29.YIN Weilong, SHI Qinghua. Review of material and structure for morphing aircraft skin[J]. Aeronautical Manufacturing Technology, 2017, 60(17): 24-29.
3
]
。基于结构的柔性蒙皮可以根据具体需求设计,满足大变形的同时具备相应的承载能力,因此成为当前研究的重点。此类蒙皮主要通过在蒙皮中布置波纹、蜂窝等骨架结构实现大变形与承载能力。

Yokozeki等[   YOKOZEKI T, TAKEDA S I, OGASAWARA T, et al. Mechanical properties of corrugated composites for candidate materials of flexible wing structures[J]. Composites Part A: Applied Science and Manufacturing, 2006, 37(10): 1578-1586.
4
]
最早将波纹结构用于柔性蒙皮中,此类蒙皮不仅能够承受较大的气动载荷,还可以沿波纹方向发生较大变形。Olympio等[   OLYMPIO K R, GANDHI F. Flexible skins for morphing aircraft using cellular honeycomb cores[J]. Journal of Intelligent Material Systems and Structures, 2010, 21(17): 1719-1735.
5
]
提出了一种以蜂窝骨架为基底、表面铺设硅胶材料的骨架增强柔性蒙皮。随后,学者们又提出了多凹角蜂窝[   LIN H B, LIU H T. Mechanical properties and band gap characteristics of flexible skin based on multi-concave angle honeycomb[J]. Materials Today Communications, 2023, 35: 106113.
6
]
、环形蜂窝[   FENG N, TIE Y H, WANG S B, et al. Mechanical performance of 3D-printing annular honeycomb with tailorable Poisson’s ratio[J]. Mechanics of Advanced Materials and Structures, 2023, 30(18): 3781-3789.
7
]
、鱼形蜂窝[   NAGHAVI ZADEH M, DAYYANI I, YASAEE M. Fish cells, a new zero Poisson’s ratio metamaterial: Part Ⅰ: Design and experiment[J]. Journal of Intelligent Material Systems and Structures, 2020, 31(13): 1617-1637.
  ZADEH M N, DAYYANI I, YASAEE M. Fish cells, a new zero Poisson’s ratio metamaterial: Part Ⅱ: Elastic properties[J]. Journal of Intelligent Material Systems and Structures, 2020, 31(19): 2196-2210.
8-9
]
等各类骨架结构。刘卫东[   刘卫东. 变形机翼关键技术的研究[D]. 南京: 南京航空航天大学, 2014.LIU Weidong. Research on key technology of morphing wing[D]. Nanjing: Nanjing University of Aeronautics and Astronautics, 2014.
10
]
基于统一的结构参数,对比了U型、V型、折线型和余弦型4种蜂窝结构的面内横向等效弹性模量,并研究了结构参数对蜂窝结构面内横向伸缩性能与法向承载能力的影响。在相同结构参数下,面内伸缩能力从强到弱排列为:折线形、U型、余弦型、V型;法向承载能力从强到弱排列为:V型、余弦型、U型、折线型。随后,王亚豪[   王亚豪. 基于超弹形状记忆合金的柔性蒙皮设计和实验验证[D]. 大连: 大连理工大学, 2021.WANG Yahao. Design and Experimental verification of flexible skin based on super-elastic SMA[D]. Dalian: Dalian University of Technology, 2021.
11
]
将U型蜂窝结构与形状记忆合金(SMA)材料结合,提出了一种具有大变形能力的零泊松比柔性蒙皮芯层结构,并推导了在线弹性小变形情况下U型蜂窝结构的拉力与位移关系。

同时,为了进一步提升蒙皮的性能,研究者采用优化方法对蒙皮骨架结构的构型、尺寸和材料等参数进行优化设计,这也是相关研究的重点[   BUBERT E A, WOODS B K S, LEE K, et al. Design and fabrication of a passive 1D morphing aircraft skin[J]. Journal of Intelligent Material Systems and Structures, 2010, 21(17): 1699-1717.
  MURUGAN S, SAAVEDRA FLORES E I, ADHIKARI S, et al. Optimal design of variable fiber spacing composites for morphing aircraft skins[J]. Composite Structures, 2012, 94(5): 1626-1633.
12-13
]
。Olympio等[   OLYMPIO K R, GANDHI F. Flexible skins for morphing aircraft using cellular honeycomb cores[J]. Journal of Intelligent Material Systems and Structures, 2010, 21(17): 1719-1735.
5
]
对其蜂窝骨架的尺寸参数和材料进行了优化,以满足变体机翼所需的面内变形能力,并提出了一种针对支撑结构的多目标优化算法[   OLYMPIO K, GANDHI F. Skin designs using multi-objective topology optimization[C]//49th AIAA/ASME/ASCE/AHS/ASC Structures, Structural Dynamics, and Materials Conference <br> 16th AIAA/ASME/AHS Adaptive Structures Conference. Schaumburg: AIAA, 2008: AIAA2008-1793.
14
]
。刘浩等[   刘浩, 曹佳薇, 高仁璟, 等. 基于拓扑优化的新型蜂窝结构设计[J]. 计算力学学报, 2023, 40(4): 514-521.LIU Hao, CAO Jiawei, GAO Renjing, et al. New honeycomb structure design based on topology optimization[J]. Chinese Journal of Computational Mechanics, 2023, 40(4): 514-521.
15
]
基于拓扑优化方法,设计了一种新型蜂窝结构。郭瑜超等[   郭瑜超, 聂小华, 宋晨,等. 基于负泊松比蜂窝的复合式柔性蒙皮优化技术[J/OL]. 复合材料学报, 1-12[2025-07-11]. https://doi.org/10.13801/j.cnki.fhclxb.20241012.003.GUO Y C, NIE X H, SONG C. Composite flexible skin optimization technology based on negative Poisson’s ratio honeycomb[J/OL]. Acta Materiae Compositae Sinica, 1-12[2025-07-11]. https://doi.org/10.13801/j.cnki.fhclxb.20241012.003.
16
]
基于响应面法,建立了骨架几何参数与结构性能关系的近似模型,并使用加权系数法将面内应变、泊松比、面外挠度和结构质量等多目标优化转化为单目标优化,结合遗传算法进行优化,最终实现了面内变形能力的提升,面外承载能力的增强,结构质量的减轻以及泊松比的降低。

综上所述,尽管国内外学者在柔性蒙皮优化技术领域已开展了广泛研究,但在实际工程应用中,蒙皮通常需满足特定的承载能力指标。如何在保障承载能力的同时实现大变形,仍是当前柔性蒙皮设计面临的核心问题。因此,本文将针对常用的U型蜂窝骨架在折叠机翼折叠段封严的要求下,建立骨架拉伸变形量与结构最大应变之间的解析关系,以及骨架在面法向力作用下的挠度解析表达式。在此基础上,以面外挠度为约束条件,以结构最大应变最小化为优化目标,采用SLSQP算法对特定工况下的骨架几何尺寸进行优化设计。最终,通过对比优化结果与初始几何尺寸,验证所提设计方法在协调骨架承载能力与大变形能力方面的可行性和有效性。通过建立U型蜂窝骨架的力学解析模型并构建相应优化设计方法,为解决柔性蒙皮的大变形与高承载之间的矛盾提供了理论依据与工程实践方案。

1     变体折叠机翼U型蜂窝骨架增强柔性蒙皮结构

针对变体折叠机翼对大变形高承载柔性蒙皮的要求,内部采用骨架增强的柔性蒙皮是众多方案中最具可行性的选择之一,此类蒙皮通常以零泊松比蜂窝结构为基底,与具有大变形能力的弹性材料复合而成。其中,蜂窝结构能够在保持大变形能力的同时提供较强的面外承载能力,而弹性表皮则在变形时保持蒙皮表面光滑,满足变体机翼对柔性蒙皮的需求。

本文针对折叠机翼缘结构中的骨架增强柔性蒙皮如图1所示,为实现机翼折叠过渡处的光滑连接和封严,上下翼面采用了骨架增强的柔性蒙皮结构。U型蜂窝骨架因其合理的构型、优异的面内变形能力、无几何尖点及良好的法向承载性能等特点而被选用。为了实现最大变形能力,骨架材料由镍钛形状记忆合金制成,并与橡胶材料硫化复合成型。

图1     折叠机翼U型蜂窝骨架增强柔性蒙皮结构
Fig.1     Flexible skin structure reinforced by U-shaped honeycomb framework for foldable wings

在承受面外法向气动载荷时,蒙皮通过U型蜂窝骨架将载荷传递至蒙皮支撑结构,并保证其在面内方向具有较大的变形能力,以满足折叠过程中的柔性蒙皮变形要求。前期研究表明[   刘卫东. 变形机翼关键技术的研究[D]. 南京: 南京航空航天大学, 2014.LIU Weidong. Research on key technology of morphing wing[D]. Nanjing: Nanjing University of Aeronautics and Astronautics, 2014.
10
]
,U型蜂窝骨架的承载能力与大变形能力之间存在矛盾:即承载能力的增强通常会导致大变形能力的减弱,反之亦然。作为决定柔性蒙皮整体性能的关键结构,设计U型蜂窝骨架时,如何在保障特定气动载荷承载能力的同时满足面内变形要求,成为研究中的重要问题。因此,本文将建立U型蜂窝骨架的力学本构模型,并基于此模型对其几何尺寸进行优化设计,以满足柔性蒙皮特定应用场景的需求。

2     U型蜂窝骨架结构的力学本构模型

根据相关工程经验,骨架增强柔性蒙皮失效主要集中在骨架部分,且其面外载荷主要通过骨架传递至支撑结构。复合橡胶后主要影响蒙皮所需驱动力,对拉伸能力与承载能力影响较小,因此,本文将主要对U型蜂窝骨架结构展开研究。

图2所示,骨架主要由周期性U型蜂窝结构和刚性横梁组成。U型蜂窝结构实现了骨架的大变形功能,而刚性横梁则增加了结构稳定性,并将面外载荷传递至蒙皮支撑结构。对于U型蜂窝骨架的单胞结构,根据其对称性,可取1/4胞元进行分析。其主要几何尺寸参数包括直梁长度L、曲梁半径r、骨架厚度b和骨架宽度h

图2     U型蜂窝骨架
Fig.2     U-shaped honeycomb framework

U型蜂窝骨架实现大变形的原理为各个单个结构单元产生微小位移或形变,众多单元的微小变形叠加后,即可在宏观上实现大变形效果。因此,虽然骨架在拉伸后整体变形量较大,但是各个U型蜂窝结构的变形量较小,材料最大应变不超过4%。为简化计算,便于使用数值方法对骨架的几何几何尺寸做优化,本文将推导U型蜂窝结构在线弹性小变形情况下的理论模型。

2.1     U型蜂窝结构最大应变理论模型

柔性蒙皮的拉伸变形量由变体结构的需求确定,U型蜂窝骨架随蒙皮一同拉伸变形。建立拉伸量与骨架结构最大应变之间的理论模型,有助于在工程中快速进行强度校核,并通过数值方法优化骨架的几何参数。

假设拉伸时每个1/4胞元的拉伸位移为dy,如图3所示,建立坐标系,胞元包含ABCD两段曲梁以及BC的一段直梁,A点固定支撑,D端沿y方向位移dy

图3     1/4胞元受力情况
Fig.3     Force-bearing condition of the quarter-cell

由文献[   王亚豪. 基于超弹形状记忆合金的柔性蒙皮设计和实验验证[D]. 大连: 大连理工大学, 2021.WANG Yahao. Design and Experimental verification of flexible skin based on super-elastic SMA[D]. Dalian: Dalian University of Technology, 2021.
11
]可知,线弹性小变形情况下拉力Fy与位移dy的关系为

Fy=dyEbh36πr3+24Lr2+3πL2r+L3
(1)

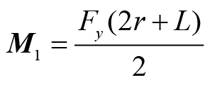
式中,E为材料的弹性模量。由上式可计算出驱动D端位移所需的拉力,再由静力平衡条件得到1/4胞元的受力如图3所示,其中弯矩M1

M1=Fy(2r+L)2
(2)

根据仿真结果分析得1/4胞元结构应变最大处为CD段曲梁内侧,即如图4所示D端截面半径最小处。

图4     结构最大应变示意图
Fig.4     Schematic diagram of maximum structural strain

D点同时受拉力Fy与弯矩M1作用。在平面弯曲情况下,D点截面任意位置处的应力σ可以应用曲梁应力公式[   刘鸿文,林建兴,曹曼玲. 高等材料力学[M]. 北京: 高等教育出版社, 1985.LIU Hongwen, LIN Jianxing, CAO Manling. Advanced strength mechanics [M]. Beijing: Higher Education Press, 1985.
17
]
计算得出。

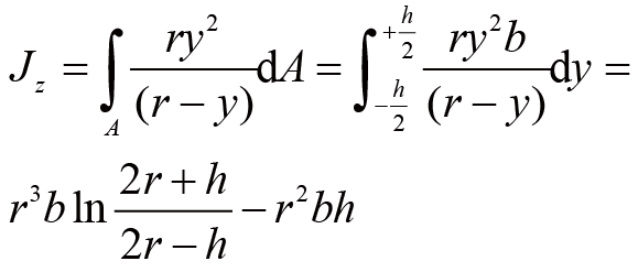
σ=FyAM1Ar+M1Jz · y(1yr)
(3)

式中,A为梁的截面积;y为该点距离曲梁中性层的距离,对于高为h,宽为b的矩形梁,式中Jz

Jz=Ary2(ry)dA=h2+h2ry2b(ry)dy=r3bln2r+h2rhr2bh
(4)

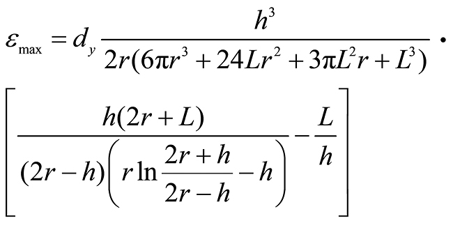
A=bhy=h/2代入式(3)、(4),并联立式(1)、(2)以及胡克定律得出的结构最大应变εmax表达式为

εmax=dyh32r(6πr3+24Lr2+3πL2r+L3) ·[h(2r+L)(2rh)(rln2r+h2rhh)Lh]
(5)

至此,得出U型蜂窝骨架结构最大应变εmax与位移dy之间的理论模型。

2.2     U型蜂窝面外挠度理论模型

在柔性蒙皮设计中,面外承载能力通常以特定载荷作用下的蒙皮凹陷量为指标。然而,凹陷量受多个因素影响,包括蒙皮支撑结构的布局、表面材料的力学性能以及增强骨架的力学性能。本文通过分段计算,建立U型蜂窝增强骨架在面外载荷作用下的挠度理论模型,从而实现面外承载性能的量化评估。

图5所示,z轴垂直于纸面向外,假设U型蜂窝骨架在承受面外载荷时,载荷等效于在D点施加z方向的集中力Fz。当骨架在A点固定支撑,D点受z方向集中力Fz作用时,Dz方向的挠度理论模型如下所述。

图5     1/4胞元面外载荷示意图
Fig.5     Out-of-plane load of the quarter-cell

AB段曲梁局部坐标系如图6所示,s轴指向曲梁切向,ξ轴指向圆弧圆心,η轴垂直于纸面向内。

图6     AB段局部坐标系
Fig.6     Local coordinate system of segment AB

曲梁在不考虑翘曲,受集中力载荷的情况下,坐标s处的转角ϕsϕξ与挠度uη的计算公式[   朱莉莉, 王广欣. 空间曲线梁的力学分析与研究[M]. 北京: 北京理工大学出版社, 2020.ZHU Lili, WANG Guangxin. Mechanical analysis and research of spaciall curved beams[M]. Beijing: Beijing Institute of Technology Press, 2020.
18
]

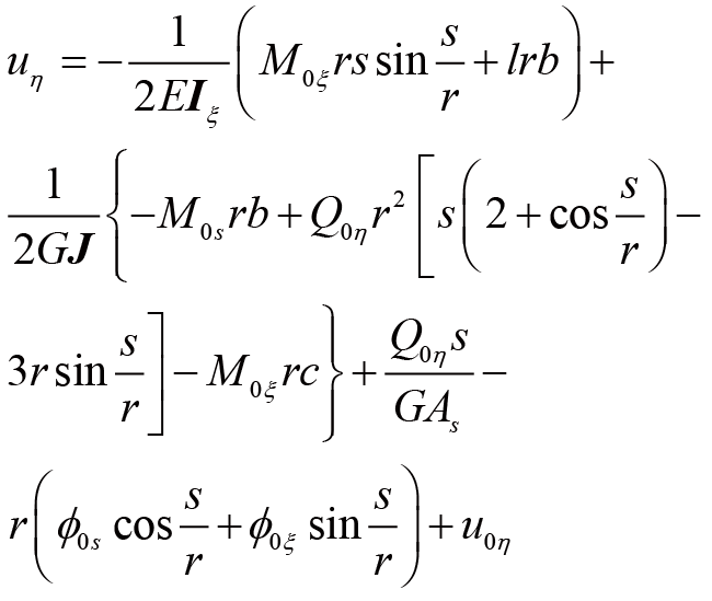
ϕs=12EIξ(M0ξssinsr+lb)+12GJ(M0ξssinsr+M0sdQ0ηrb)+ϕ0scossr+ϕ0ξsinsr
(6)

ϕξ=12EIξ(M0ξdlssinsr)+12GJ(M0ξb+Q0ηrcM0sssinsr)+ϕ0ξcossrϕ0ssinsr
(7)

uη=12EIξ(M0ξrssinsr+lrb)+12GJ{M0srb+Q0ηr2[s(2+cossr)3rsinsr]M0ξrc}+Q0ηsGAsr(ϕ0scossr+ϕ0ξsinsr)+u0η
(8)

式中,b=scossrrsinsrc=2r(cossr1)+ssinsrd=scossr+rsinsrl=M0sQ0ηrQ0i为集中力边界条件;M0i为力矩边界条件;φ0i为转角边界条件;u0i为位移边界条件;下标i=SηξE为材料弹性模量;G为材料剪切模量;Iξ为曲梁截面对于ξ轴的惯性矩;J为截面极惯性矩;As为截面面积。

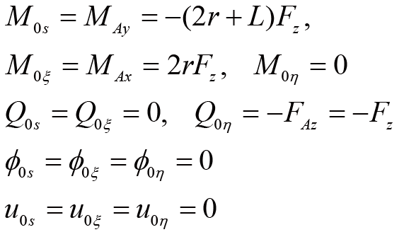
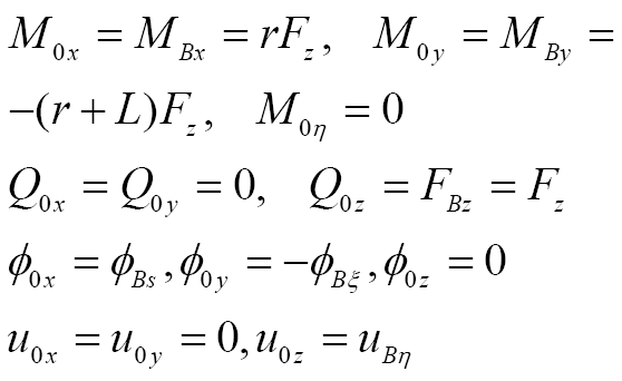
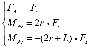
由静力平衡关系易得骨架A点全局坐标系下的内力FAzMAxMAy

{FAz=FzMAx=2r · FzMAy=(2r+L) · Fz
(9)

将全局坐标系转换至局部坐标,并结合A点固定支撑条件,得出A点在局部坐标系下的边界条件。

M0s=MAy=(2r+L)Fz,   M0ξ=MAx=2rFz,   M0η=0Q0s=Q0ξ=0,   Q0η=FAz=Fzϕ0s=ϕ0ξ=ϕ0η=0u0s=u0ξ=u0η=0
(10)

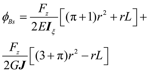
将边界条件(式(10))与B点在s轴的坐标s=πr2代入式(6)~(8)可得B点局部坐标系下的位移与转角。

ϕBs=Fz2EIξ[(π+1)r2+rL]+Fz2GJ[(3+π)r2rL]
(11)

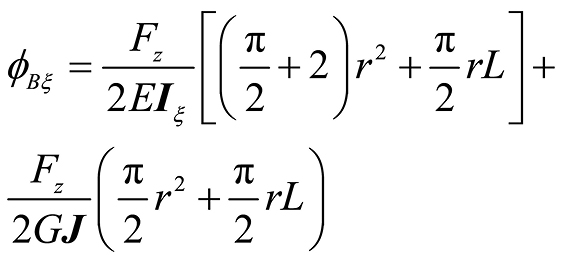
ϕBξ=Fz2EIξ[(π2+2)r2+π2rL]+Fz2GJ(π2r2+π2rL)
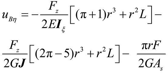
(12)

uBη=Fz2EIξ[(π+1)r3+r2L]Fz2GJ[(2π5)r3+r2L] πrF2GAs
(13)

转换至全局坐标系。

ϕBx=ϕBsϕBy=ϕBξuBz=uBη
(14)

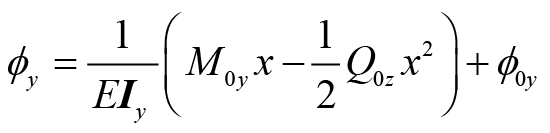
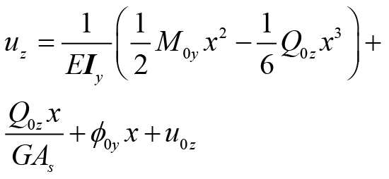
对于BC段直梁,应用直梁在集中力作用下长度x处的挠度与转角公式[   王莹, 程家幸, 盛冬发. 材料力学[M]. 北京: 机械工业出版社, 2025.WANG Ying, CHENG Jiaxing, SHENG Dongfa. Mechanics of material[M]. Beijing: China Machine Press, 2025.
19
]

ϕx=M0xxGJ+ϕ0x
(15)

ϕy=1EIy(M0yx12Q0zx2)+ϕ0y
(16)

uz=1EIy(12M0yx216Q0zx3)+Q0zxGAs+ϕ0yx+u0z
(17)

式中,Q0i为集中力边界条件;E为材料弹性模量;G为材料剪切模量;As为截面面积;Iy为曲梁截面对于y轴的惯性矩,观察可知IyIξ相等,为便于计算,下文将使用Iξ替换Iy

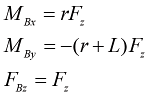
由静力平衡关系得B点内力为

MBx=rFzMBy=(r+L)FzFBz=Fz
(18)

结合式(14)得B点边界条件。

M0x=MBx=rFz,   M0y=MBy=(r+L)Fz,   M0η=0Q0x=Q0y=0,   Q0z=FBz=Fzϕ0x=ϕBs,ϕ0y=ϕBξ,ϕ0z=0u0x=u0y=0,u0z=uBη
(19)

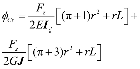
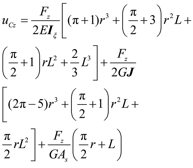
将边界条件(式(18)),式(11)~(13)结果与杆BC长度x=L代入式(15)~(17)得C点位移与转角。

ϕCx=Fz2EIξ[(π+1)r2+rL]+Fz2GJ[(π+3)r2+rL]
(20)

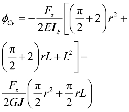
ϕCy=Fz2EIξ[(π2+2)r2+(π2+2)rL+L2]Fz2GJ(π2r2+π2rL)
(21)

uCz=Fz2EIξ[(π+1)r3+(π2+3)r2L+(π2+1)rL2+23L3]+Fz2GJ[(2π5)r3+(π2+1)r2L+π2rL2]+FzGAs(π2r+L)
(22)

CD段曲梁局部坐标系如图7所示,s轴指向曲梁切向;ξ轴指向圆弧圆心;η轴垂直于纸面向外。

图7      CD段局部坐标系
Fig.7     Local Coordinate system of segment CD

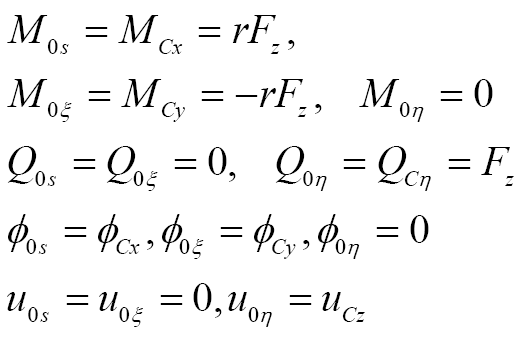
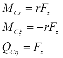
由静力平衡得C点内力为

MCs=rFzMCξ=rFzQCη=Fz
(23)

C点转角与位移结果由全局坐标系转换至局部坐标系得

ϕCs=ϕCxϕCξ=ϕCyuCη=uCz
(24)

结合式(22)、(23)得C点边界条件。

M0s=MCx=rFz,   M0ξ=MCy=rFz,   M0η=0Q0s=Q0ξ=0,   Q0η=QCη=Fzϕ0s=ϕCx,ϕ0ξ=ϕCy,ϕ0η=0u0s=u0ξ=0,u0η=uCz
(25)

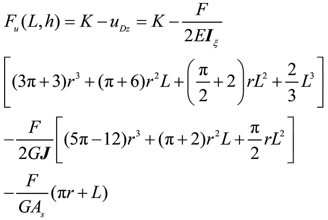
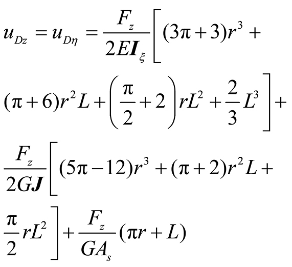
将边界条件(式(24),(19)~(21))与CD段曲梁长度s=πr2代入式(8)式得D点挠度uDη,并转换至全局坐标系可得

uDz=uDη=Fz2EIξ[(3π+3)r3+(π+6)r2L+(π2+2)rL2+23L3]+Fz2GJ[(5π12)r3+(π+2)r2L+π2rL2]+FzGAs(πr+L)
(26)

式中,Iξ=hb312J=βh1b13h1为矩形梁长边;b1为矩形梁短边;β的取值见表1[   王莹, 程家幸, 盛冬发. 材料力学[M]. 北京: 机械工业出版社, 2025.WANG Ying, CHENG Jiaxing, SHENG Dongfa. Mechanics of material[M]. Beijing: China Machine Press, 2025.
19
]

表1     β取值表[   王莹, 程家幸, 盛冬发. 材料力学[M]. 北京: 机械工业出版社, 2025.WANG Ying, CHENG Jiaxing, SHENG Dongfa. Mechanics of material[M]. Beijing: China Machine Press, 2025.
19
]
Table 1     Selection of β value[   王莹, 程家幸, 盛冬发. 材料力学[M]. 北京: 机械工业出版社, 2025.WANG Ying, CHENG Jiaxing, SHENG Dongfa. Mechanics of material[M]. Beijing: China Machine Press, 2025.
19
]
h1/b1 1.0 1.2 1.5 2.0 2.5 3.0 4.0 6.0 8.0 10.0
β 0.141 0.166 0.196 0.229 0.249 0.263 0.281 0.299 0.307 0.313 0.333

至此,得到D点面外总挠度uDz与集中力Fz之间的理论模型。

2.3     U型结构本构模型的有限元仿真分析验证

首先建立U型结构的有限元模型,一般使用实体单元模拟U型结构骨架,为满足仿真精度要求,网格尺寸需足够小。在有限元仿真中,将蜂窝U型结构骨架材料假设为线弹性材料,不考虑材料非线性效应。

将U型结构在特定载荷下的最大应变与面外挠度分为两种独立的载荷工况进行有限元计算。最大应变计算边界条件如图8所示,A端固支,B端拉伸指定位移;面外挠度计算边界条件如图9所示,A端固支,B端施加指定的面外集中力。随机选取如表2所示5组不同的几何尺寸与载荷,将其由式(5)计算得出的骨架结构最大应变、由式(25)计算得出的面外挠度与有限元仿真计算结果进行对比,以验证理论模型的计算精度。

图8     最大应变计算边界条件
Fig.8     Maximum strain computational boundary conditions
图9     面外挠度计算边界条件
Fig.9     Out-of-plane deflection computational boundary conditions
表2     U型结构骨架几何尺寸与载荷表
Table 2     U-type frame geometry and loading table
参数集 1 2 3 4 5
直梁段长度L/mm 10 10 5 9.8 15
曲梁段半径r/mm 10 10 5 8.4 15
骨架宽度h/mm 2 3 1 2 2
骨架厚度b/mm 4 2 2 2 2
拉伸量dy/mm 2 2 0.5 1 6
面外集中力F/N 10 5 4 4 1

仿真计算结果如表34所示。最大应变理论与仿真结果的最大误差出现在第3组随机参数组合,误差为1.6%;5组参数集的平均误差为0.78%。面外挠度理论与仿真结果的最大误差见于第4组随机参数组合,误差为3.16%,5组参数集的平均误差为1.55%。上述结果验证了力学模型的可靠性:所有工况下最大应变误差≤1.6%,平均误差<0.8%;面外挠度最大误差≤3.2%,平均误差<1.6%,满足工程精度要求,可为骨架几何优化提供有效的理论支撑。

表3     最大应变理论与仿真结果对比
Table 3     Comparison between theoretical and simulated maximum strain
参数集 1 2 3 4 5
最大应变理论解/% 0.739 1.159 0.369 0.494 0.956
最大应变仿真解/% 0.747 1.158 0.375 0.489 0.955
误差/% 1.07 0.09 1.60 1.02 0.10

表4     面外挠度理论与仿真结果对比
Table 4     Comparison between theoretical and simulated out-of-plane deflection
参数集 1 2 3 4 5
面外挠度理论解/mm 1.661 2.527 1.328 2.235 2.863
面外挠度仿真解/mm 1.657 2.555 1.313 2.308 2.924
误差/% 0.24 1.10 1.14 3.16 2.09

3     U型骨架几何尺寸的优化设计

采用序列最小二乘规划算法(Sequential least squares programming,SLSQP)算法对U型骨架几何尺寸的优化设计[   张鹏. 最优化方法[M]. 北京: 科学出版社, 2023.ZHANG Peng. Optimization method[M]. Beijing: Science Press, 2023.
20
]
,其算法流程图如图10所示,具体过程如下。

图10     SLSQP算法流程图
Fig.10     Flow process of SLSQP algorithm

(1)初始化。给定初始点x0,近似Hessian矩阵B0及乘子λ0

(2)构建二次规划子问题。在当前点xk,用二次函数近似目标,线性函数近似约束,形成二次规划子问题。

(3)求解搜索方向。求解该QP问题,得到搜索方向Pk和新的乘子估计λk+1

(4)线搜索。沿方向Pk,进行线搜索,确定步长αk,更新迭代点xk+1

(5)更新与收敛。用拟牛顿法更新Bk,检查是否满足收敛条件。若满足,输出当前结果,否则返回步骤(2)。

3.1     优化问题格式

考虑骨架结构材料厚度和支撑布局的影响,骨架的厚度b以及曲梁段半径r设计空间较小,因此在优化时将其视为常数处理。

骨架材料为镍钛形状记忆合金,利用材料的线弹性变形段,材料弹性模量E=18.5 GPa,材料剪切模量G=7.12 GPa;载荷设置为位移dy=6 mm,面法向集中力Fz=3 N,最大允许面外变形量K=2 mm;几何尺寸常数为骨架厚度b=2 mm,骨架曲梁段半径r=10 mm。

优化的参数为骨架直梁段长度L,其取值范围为[5 mm,15 mm];骨架宽度h,其取值范围为[0.5 mm,5 mm]。目标为骨架结构最大应变最小,约束条件为骨架面外挠度小于允许值,以及各优化参数的取值范围。

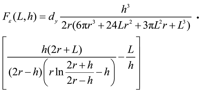
由式(5)得目标函数FεLh)为

Fε(L,h)=dyh32r(6πr3+24Lr2+3πL2r+L3) ·[h(2r+L)(2rh)(rln2r+h2rhh)Lh]
(27)

由式(26)得约束函数FuLh)为

Fu(L,h)=KuDz=KF2EIξ[(3π+3)r3+(π+6)r2L+(π2+2)rL2+23L3]F2GJ[(5π12)r3+(π+2)r2L+π2rL2]FGAs(πr+L)
(28)

再根据各参数的取值范围,可以得到骨架优化问题列式如下。

          minx  Fε(L,h)subject to: Fu(L,h)0                 5 mmL15 mm                 0.5 mmh5 mm
(29)

同时对表5所示的3组几何尺寸初值进行优化,以验证算法的收敛性。

表5     3组几何尺寸初值详情
Table 5     Three groups of initial geometric dimension values
初值 优化参数
L/mm h/mm
初值1 10.0 4.0
初值2 6.0 2.0
初值3 14.0 3.0

3.2     优化结果

优化参数迭代过程如图1112所示。由迭代过程可见,不同的初值优化后收敛至同一结果,直梁段长度L最终收敛至7.588 mm,骨架宽度b最终收敛至2.0 mm,与骨架厚度h相等。此时骨架最大应变为1.27%,小于镍钛形状记忆合金线弹性最大应变,面外挠度为2.0 mm,等于允许值。

图11     直梁段长度L迭代过程
Fig.11     Iteration process of straight beam length
图12     骨架宽度h迭代过程
Fig.12     Iteration process of framework width

由于参数优化所得结果较为精确,对尺寸参数进行圆整后,优化后骨架的几何尺寸为L=7.6 mm,r=10 mm,h=2 mm,b=2 mm。随后在Ansys软件中进行有限元验证,仿真结果如图13所示。将结构最大应变与面外挠度与初始值做对比,结果如表6所示。

图13     优化结果有限元验证
Fig.13     Finite element verification of optimization results
表6     最终优化结果对比
Table 6     Comparison of final optimization results
初值 结构最大应变εMAX 面外挠度uDz
优化前/% 最终结果/% 对比 优化前/mm 最终结果/mm 对比
初值1 2.427 1.267 -47.75% 1.086 1.998 -83.98%
初值2 0.707 1.267 +79.35% 5.264 1.998 +62.04%
初值3 1.567 1.267 -19.08% 1.750 1.998 -14.17%

由初值1和3的优化结果可见,优化算法显著降低了最大应变,并充分利用了面外挠度的允许值所给予的设计空间。初值2的优化结果表明,即使初始设计无法满足面外承载能力要求,经过优化后也能获得满足承载能力要求的结构参数。上述优化结果证明了该设计方法在协调骨架的承载能力和大变形能力方面的可行性和有效性。

4     柔性蒙皮的制备和折叠机翼

首先将优化后的骨架制成柔性蒙皮样件进行拉伸试验以验证蒙皮骨架强度。蒙皮样件由SMA金属U型骨架结构作为支撑结构,骨架由轧制SMA板激光切割制成,随后与基体橡胶材料热压硫化复合在一起,整体厚度约4 mm,柔性蒙皮样件如图14所示。试验原理如图15所示,柔性蒙皮样件变形方向一端通过螺钉固定在支撑框架上,另一端固定在可移动桁条上,转动加载螺母,可移动桁条沿着导轨移动,柔性蒙皮样件被拉伸变长,并使用双目视觉位移检测系统测量桁条的移动距离以得到准确的蒙皮拉伸长度。

图14     柔性蒙皮样件
Fig.14     Flexible skin specimens
图15     柔性蒙皮样件水平加载试验工装夹具
Fig.15     Horizontal loading test fixture for flexible skin specimens

本次试验每次对蒙皮施加30%的水平拉伸量即蒙皮活动端拉伸达到36 mm,平均每个半胞元拉伸6 mm,记录每次拉伸时双目测试系统的位移;然后在工装夹具上锁定水平拉伸量保持30%不变,并对蒙皮进行目检,确认蒙皮表面没有出现明显裂纹、骨架未发生断裂、形状记忆合金骨架未与橡胶分离;随后卸载,观察其恢复情况。将以上拉伸,卸载过程重复3次。

夹具上安装完成后的柔性蒙皮如图16所示,拉伸后的柔性蒙皮如图17所示,拉伸后的蒙皮没有损伤、断裂和撕裂等,保持状态完好,载荷卸载后也能恢复至初始状态。3次蒙皮样件拉伸试验测试结果如表7所示。

图16     蒙皮安装时初始状态
Fig.16     Initial state during skin installation
图17     蒙皮拉伸后状态
Fig.17     Flexible skin after stretching
表7     3次蒙皮样件拉伸试验测试结果
Table 7     Tensile test results of three flexble skin samples
拉伸次数 初始长度/mm 拉伸后长度/mm 拉伸量/%
第1次 123.3 160.5 30.16
第2次 123.9 161.8 30.56
第3次 123.4 162.0 31.28

根据上述柔性蒙皮样件试验结果可知,在当前的骨架尺寸以及30%拉伸量下,蒙皮骨架强度满足要求,未发生断裂失效。随后根据该骨架尺寸制作出完整的柔性蒙皮部件如图18(a)~(b)所示,蒙皮的变形满足机翼折叠处的要求。将柔性蒙皮安装到折叠机翼模型后,机翼折叠后的状态如图18(c)~(d)所示,机翼折叠后过渡段能够实现光滑连续。其实际承载性能将在后续风洞试验中验证。

图18     折叠机翼柔性大变形蒙皮部件及折叠机翼模型
Fig.18     Flexible large-deformation skin sample of foldable wing and foldable wing model

5     结论

本文以U型蜂窝骨架柔性蒙皮为研究对象,结合实际工程应用需求,建立了U型蜂窝骨架的理论本构模型。基于SLSQP优化算法,得到了在特定载荷下能够满足承载能力的骨架尺寸最优解,得出以下研究结果。

(1)U型蜂窝骨架的最大应变与位移之间的模型,理论计算结果与仿真解相比,平均误差为0.78%。面外挠度与集中力之间的模型,理论计算结果与仿真解的平均误差为1.55%,这些结果表明所建立的理论模型具有较高的准确性。

(2)U型蜂窝骨架的几何尺寸优化设计结果显示,所采用的优化方法针对不同的初始值,均能收敛至同一优化结果。表明该算法能够在特定载荷下找到最优解,验证了所提优化方法在协调骨架承载能力和大变形能力方面的可行性和有效性。

(3)根据优化后的柔性蒙皮结构尺寸参数制备了相应的样件并将其装配到折叠机翼的弯折处,实现了光滑连续的折叠。

作者介绍



张音旋 研究员,研究方向为飞机强度设计。

参考文献

[1]

陆宇平, 何真, 吕毅, . 变体飞行器技术[J]. 航空制造技术, 2008, 51(22): 26-29.
LU Yuping, HE Zhen, Yi, et al. Morphing aircraft technology[J]. Aeronautical Manufacturing Technology, 2008, 51(22): 26-29.

[2]

THILL C, ETCHES J, BOND I, et al. Morphing skins[J]. The Aeronautical Journal, 2008, 112(1129): 117-139.

[3]

尹维龙, 石庆华. 变体飞行器蒙皮材料与结构研究综述[J]. 航空制造技术, 2017, 60(17): 24-29.
YIN Weilong, SHI Qinghua. Review of material and structure for morphing aircraft skin[J]. Aeronautical Manufacturing Technology, 2017, 60(17): 24-29.

[4]

YOKOZEKI T, TAKEDA S I, OGASAWARA T, et al. Mechanical properties of corrugated composites for candidate materials of flexible wing structures[J]. Composites Part A: Applied Science and Manufacturing, 2006, 37(10): 1578-1586.

[5]

OLYMPIO K R, GANDHI F. Flexible skins for morphing aircraft using cellular honeycomb cores[J]. Journal of Intelligent Material Systems and Structures, 2010, 21(17): 1719-1735.

[6]

LIN H B, LIU H T. Mechanical properties and band gap characteristics of flexible skin based on multi-concave angle honeycomb[J]. Materials Today Communications, 2023, 35: 106113.

[7]

FENG N, TIE Y H, WANG S B, et al. Mechanical performance of 3D-printing annular honeycomb with tailorable Poisson’s ratio[J]. Mechanics of Advanced Materials and Structures, 2023, 30(18): 3781-3789.

[8]

NAGHAVI ZADEH M, DAYYANI I, YASAEE M. Fish cells, a new zero Poisson’s ratio metamaterial: Part Ⅰ: Design and experiment[J]. Journal of Intelligent Material Systems and Structures, 2020, 31(13): 1617-1637.

[9]

ZADEH M N, DAYYANI I, YASAEE M. Fish cells, a new zero Poisson’s ratio metamaterial: Part Ⅱ: Elastic properties[J]. Journal of Intelligent Material Systems and Structures, 2020, 31(19): 2196-2210.

[10]

刘卫东. 变形机翼关键技术的研究[D]. 南京: 南京航空航天大学, 2014.
LIU Weidong. Research on key technology of morphing wing[D]. Nanjing: Nanjing University of Aeronautics and Astronautics, 2014.

[11]

王亚豪. 基于超弹形状记忆合金的柔性蒙皮设计和实验验证[D]. 大连: 大连理工大学, 2021.
WANG Yahao. Design and Experimental verification of flexible skin based on super-elastic SMA[D]. Dalian: Dalian University of Technology, 2021.

[12]

BUBERT E A, WOODS B K S, LEE K, et al. Design and fabrication of a passive 1D morphing aircraft skin[J]. Journal of Intelligent Material Systems and Structures, 2010, 21(17): 1699-1717.

[13]

MURUGAN S, SAAVEDRA FLORES E I, ADHIKARI S, et al. Optimal design of variable fiber spacing composites for morphing aircraft skins[J]. Composite Structures, 2012, 94(5): 1626-1633.

[14]

OLYMPIO K, GANDHI F. Skin designs using multi-objective topology optimization[C]//49th AIAA/ASME/ASCE/AHS/ASC Structures, Structural Dynamics, and Materials Conference &lt;br&gt; 16th AIAA/ASME/AHS Adaptive Structures Conference. Schaumburg: AIAA, 2008: AIAA2008-1793.

[15]

刘浩, 曹佳薇, 高仁璟, . 基于拓扑优化的新型蜂窝结构设计[J]. 计算力学学报, 2023, 40(4): 514-521.
LIU Hao, CAO Jiawei, GAO Renjing, et al. New honeycomb structure design based on topology optimization[J]. Chinese Journal of Computational Mechanics, 2023, 40(4): 514-521.

[16]

郭瑜超, 聂小华, 宋晨,. 基于负泊松比蜂窝的复合式柔性蒙皮优化技术[J/OL]. 复合材料学报, 1-12[2025-07-11]. https://doi.org/10.13801/j.cnki.fhclxb.20241012.003.
GUO Y C, NIE X H, SONG C. Composite flexible skin optimization technology based on negative Poisson’s ratio honeycomb[J/OL]. Acta Materiae Compositae Sinica, 1-12[2025-07-11]. https://doi.org/10.13801/j.cnki.fhclxb.20241012.003.

[17]

刘鸿文,林建兴,曹曼玲. 高等材料力学[M]. 北京: 高等教育出版社, 1985.
LIU Hongwen, LIN Jianxing, CAO Manling. Advanced strength mechanics [M]. Beijing: Higher Education Press, 1985.

[18]

朱莉莉, 王广欣. 空间曲线梁的力学分析与研究[M]. 北京: 北京理工大学出版社, 2020.
ZHU Lili, WANG Guangxin. Mechanical analysis and research of spaciall curved beams[M]. Beijing: Beijing Institute of Technology Press, 2020.

[19]

王莹, 程家幸, 盛冬发. 材料力学[M]. 北京: 机械工业出版社, 2025.
WANG Ying, CHENG Jiaxing, SHENG Dongfa. Mechanics of material[M]. Beijing: China Machine Press, 2025.

[20]

张鹏. 最优化方法[M]. 北京: 科学出版社, 2023.
ZHANG Peng. Optimization method[M]. Beijing: Science Press, 2023.

目录