7050–T7451铝合金耳片螺栓连接结构的受力变形与失效分析

基金项目

四川省自然科学基金(2025ZNSFSC1339)。

中图分类号:

V229+.1

文献标识码:

A

通信作者

沈琴,副教授,研究方向为合金成分设计及组织性能调控、复合材料结构设计。

编辑

责编 :向阳

引文格式

岳奇望, 沈琴, 刘钢, 等. 7050–T7451铝合金耳片螺栓连接结构的受力变形与失效分析[J]. 航空制造技术, 2025, 68(21): 178–185.

Force-Induced Deformation and Failure Analysis of Bolt-Connected Structure of 7050–T7451 Aluminum Alloy Lug

Citations

YUE Qiwang, SHEN Qin, LIU Gang, et al. Force-induced deformation and failure analysis of bolt-connected structure of 7050–T7451 aluminum alloy lug[J]. Aeronautical Manufacturing Technology, 2025, 68(21): 178–185.

航空制造技术    第68卷    第21期    178-185
Aeronautical Manufacturing Techinology    Vol.68    No.21 : 178-185
DOI: 10.16080/j.issn1671-833x.2025.21.178
研究论文(RESEARCH)

7050–T7451铝合金耳片螺栓连接结构的受力变形与失效分析

  • 岳奇望 1,2
  • 沈琴 1,3
  • 刘钢 1,2,3
  • 石璟 2
1.上海工程技术大学机械与汽车工程学院上海 201620
2.成都智远先进制造技术研究院成都 610511
3.上海交通大学四川研究院成都 610041

通信作者

沈琴,副教授,研究方向为合金成分设计及组织性能调控、复合材料结构设计。

基金项目

四川省自然科学基金(2025ZNSFSC1339)。

中图分类号:

V229+.1

文献标识码:

A

引文格式

岳奇望, 沈琴, 刘钢, 等. 7050–T7451铝合金耳片螺栓连接结构的受力变形与失效分析[J]. 航空制造技术, 2025, 68(21): 178–185.

摘要

耳片螺栓连接结构在航空工业中被广泛应用,该结构在频繁承载下极易发生断裂破坏,因此分析其拉伸性能和抗疲劳性能至关重要。本文通过理论公式计算结果设计了耳片连接结构的拉伸试验参数,并利用拉伸位移–载荷曲线设计了低周疲劳试验。结合试验和有限元仿真的方法研究了7050–T7451铝合金耳片结构的静载失效及低周疲劳失效。结果表明,双耳结构在7686次循环周期后彻底断裂,裂纹疲劳扩展aN曲线与疲劳寿命的仿真结果较为接近。研究结果对评估耳片连接结构的安全及耳片连接件的选用提供了可靠的理论基础。

关键词

耳片接头;7050铝合金;数值模拟;断裂特征;疲劳寿命;

Force-Induced Deformation and Failure Analysis of Bolt-Connected Structure of 7050–T7451 Aluminum Alloy Lug

  • YUE Qiwang 1,2
  • SHEN Qin 1,3
  • LIU Gang 1,2,3
  • SHI Jing 2
1.School of Mechanical and Automotive Engineering, Shanghai University of Engineering Science, Shanghai 201620, China
2.Zhiyuan Advanced Manufacturing Research Center, Chengdu 610511, China
3.Sichuan Research Institute, Shanghai Jiao Tong University, Chengdu 610041, China

Citations

YUE Qiwang, SHEN Qin, LIU Gang, et al. Force-induced deformation and failure analysis of bolt-connected structure of 7050–T7451 aluminum alloy lug[J]. Aeronautical Manufacturing Technology, 2025, 68(21): 178–185.

Abstract

The bolt-connected structure of lug, widely used in aviation industry, is prone to fracture under frequent loading, making the analysis of its tensile and fatigue performance crucial. In this paper, the tensile test parameters of lug-connected structure were designed based on theoretical calculations, and the low-cycle fatigue test was designed by the tensile displacement–load curve. The static-load failure and low-cycle fatigue failure of 7050–T7451 aluminum alloy lug-connected structure were investigated using experiments and finite element simulations. The results demonstrated that the double lug structure completely fractured after 7686 cycles, and the crack propagation aN curve was close to that of the fatigue life simulation results. The results provide a reliable theoretical basis for evaluating the safety of lug-connected structure and selection of lug-connected part.

Keywords

Lug joint; 7050 aluminum alloy; Numerical simulation; Fracture characteristics; Fatigue life;



耳片螺栓连接结构具有便于传递集中载荷、连接形式简单及易装配拆卸等优点,被广泛应用于航空工业领域,如方向舵、起落架接头、飞机副翼、发动机吊挂及后机身与后梁连接的转轴接头等[   郑光. 某飞机机翼吊挂连接接头破坏试验设计[D]. 南京: 南京航空航天大学, 2013.ZHENG Guang. Destruction test design of the joints connecting the wing and pylon of XXX aircraft[D]. Nanjing: Nanjing University of Aeronautics and Astronautics, 2013.
  孟妍. 耳片结构裂纹萌生寿命及扩展仿真与实验研究[D]. 南京: 南京航空航天大学, 2021.MENG Yan. Simulation and experimental study on crack initiation life and propagation of lug[D]. Nanjing: Nanjing University of Aeronautics and Astronautics, 2021.
  李益萱, 王龙. 飞机某典型螺栓连接件的振动疲劳试验研究[J]. 机械科学与技术, 2019, 38(9): 1401–1405.LI Yixuan, WANG Long. Study on vibration fatigue testing of aircraft typical bolt connector[J]. Mechanical Science and Technology for Aerospace Engineering, 2019, 38(9): 1401–1405.
1-3
]
。目前应用最广泛的材料是7050–T7451铝合金,具有热系数高、切削性能良好、化学磨损小、强度高、断裂韧度大、抗应力腐蚀性能好的特性[   陈翔宇, 何辉波, 李华英, 等. 7050–T7451铝合金铣削参数多指标优化研究[J]. 工具技术, 2024, 58(2): 33–40.CHEN Xiangyu, HE Huibo, LI Huaying, et al. Research on multi-indexes optimization of milling parameters for 7050–T7451 aluminum alloy[J]. Tool Engineering, 2024, 58(2): 33–40.
4
]
。耳片螺栓连接结构承受大载荷时,在耳孔周围产生应力集中,极易发生断裂破坏,同时频繁承载也会导致结构的疲劳破坏。因此,分析耳片螺栓连接结构的拉伸性能和抗疲劳性能对飞机的稳定性和服役安全至关重要[   王中霆. 典型开孔结构及其螺栓连接结构力学性能分析[D]. 哈尔滨: 哈尔滨工业大学, 2013.WANG Zhongting. Mechanical properties analysis of typical perforated structure and its bolted connection structure[D]. Harbin: Harbin Institute of Technology, 2013.
  鞠明明. 大型飞机翼下吊架结构方案设计与优化[D]. 南京: 南京航空航天大学, 2018.JU Mingming. Structure scheme design and optimization of large aircraft under wing hanger[D]. Nanjing: Nanjing University of Aeronautics and Astronautics, 2018.
5-6
]

研究人员针对耳片螺栓连接结构的强度与承载能力问题做了一些研究工作。李辉等[   李辉, 陈蓬, 姚泽坤, 等. 钛合金耳片的静载失效分析与结构优化研究[J]. 航空制造技术, 2017, 60(5): 96–99, 104.LI Hui, CHEN Peng, YAO Zekun, et al. Failure analysis and structure optimization of titanium alloy lug[J]. Aeronautical Manufacturing Technology, 2017, 60(5): 96–99, 104.
7
]
通过试验方法获得了不同尺寸钛合金耳片的拉伸极限,揭示了钛合金耳片几何尺寸与加载角度对破坏载荷的影响规律,并对典型断口进行了形貌观察,探讨了钛合金耳片在室温静载荷作用下的破坏机制。周忠义等[   周忠义, 徐武, 陆冠, 等. 300M钢耳片拉伸强度与破坏机制[J]. 机械设计与研究, 2022, 38(5): 225–231, 237.ZHOU Zhongyi, XU Wu, LU Guan, et al. Tensile strength and failure mechanism of 300M steel lugs[J]. Machine Design & Research, 2022, 38(5): 225–231, 237.
8
]
通过对不同形式和几何尺寸的耳片开展不同加载角度的拉伸破坏静力试验,获得了耳片拉伸极限载荷和破坏模式,并给出了300M钢耳片拉伸强度效率系数的计算公式,在此基础上建立了300M钢耳片拉伸极限载荷分析的弹塑性有限元方法,并结合试验进行了验证。

数值分析方法可以通过结合材料的力学性能、本构模型及失效判据来分析耳片的失效。王钧仡等[   王钧仡, 秦锋英, 李波, 等. 高强钛合金典型耳片准静态拉伸断裂数值模拟[J]. 塑性工程学报, 2023, 30(10): 151–159.WANG Junyi, QIN Fengying, LI Bo, et al. Numerical simulation of quasi-static tensile fracture of high strength titanium alloy typical lugs[J]. Journal of Plasticity Engineering, 2023, 30(10): 151–159.
9
]
结合数值模拟与试验的方法,在准静态拉伸试验中,研究了不同结构参数对钛合金飞机耳片接头断裂载荷的影响,通过材料延性断裂的本构模型分别对4种不同结构的耳片接头进行了拉伸断裂模拟。杨景明[   杨景明. 基于损伤力学的铆接试件疲劳裂纹萌生寿命研究[J]. 四川建筑, 2021, 41(3): 175–177, 180.YANG Jingming. Study on fatigue crack initiation life of riveted specimens based on damage mechanics[J]. Sichuan Architecture, 2021, 41(3): 175–177, 180.
10
]
通过损伤场与应力应变场的全耦合分析,对铆接钢结构桥梁典型疲劳试验件的疲劳裂纹萌生阶段进行研究。以往的研究主要集中于在静态拉伸试验或疲劳试验中单独分析耳片连接结构的强度,而结合静态拉伸受力变形与疲劳失效分析的研究较少。

本文以7050–T7451铝合金耳片螺栓连接结构为研究对象,从铝合金耳片螺栓连接结构的静载失效及低周疲劳失效入手,通过ABAQUS CAE工程软件对结构进行三维建模和工况分析,研究耳片结构的受力变形与失效形式,同时结合试验验证仿真模拟模型的合理性。研究结果对评估耳片连接结构的安全性、保证航空器飞行效率及指导高强度耳片设计具有重要意义。

1     试验及方法

1.1     零件材料及几何尺寸选择

选择飞机上典型的连接耳片结构为研究对象,分为单耳片和双耳片,几何尺寸参数见表1,具体示意如图1所示。其中,双耳片槽宽度为12 mm。螺栓长度为30 mm,直径为7.8 mm。试验材料为7050铝合金块,热处理状态为T7451,结构各部件的材料力学性能如表2所示。

表1     耳片几何尺寸参数
Table 1     Geometric dimension parameters of lugs

mm

类型 厚度 边距 间隙 孔径
单耳片 10 9 1 10
双耳片 6 6 1 8

图1     耳片示意图(mm)
Fig.1     Schematic diagram of lugs (mm)
表2     不同部件的材料力学性能
Table 2     Mechanical properties of materials of different components
部件 材料 弹性模量E/GPa 摩擦因数μ 屈服强度σs/MPa 抗拉强度σb/MPa
耳片 7050–T7451铝合金 70.3 0.32 455 510
螺栓 45号钢 200 0.30 375 680
夹具 Q235钢 206 0.30 235 375

作为飞机上常用的连接结构件,耳片结构是传递动力的重要一环,对飞机的安全和性能有较大影响。为了分析耳片接头的静力承载能力及在疲劳循环载荷作用下的破坏过程,尽可能还原连接结构的实际使用场景及实际工作载荷,设计了单耳片和双耳片的连接结构。其中,双耳结构的耳片间隙需满足试验记录的拍摄角度要求,同时避免因间隙过大导致单耳结构在加载过程中偏移。由于拉伸试验过程中要进行单耳结构一侧的拍摄记录,使得单耳结构与一侧双耳结构间产生1 mm的偏置,因此为保证加载过程中双耳结构的两边耳片受力均匀,在单耳结构设计上要向间隙较大的一侧倾斜,耳片螺栓连接结构的整体安装示意见图2

图2     耳片螺栓连接结构的安装示意图
Fig.2     Installation diagram of bolt-connected structure of lug

1.2     试验方案

使用Instron 5565电子万能试验机对耳片螺栓连接结构进行室温拉伸试验及疲劳试验,整体安装图如图3所示,其中图3(b)图3(a)中绿色框区域的局部放大图。为准确记录破坏瞬间的破坏形式,架设NOVA S16高速摄像机对试验过程进行高速连拍。拉伸试验设置位移载荷,考虑到传力螺栓强度,设置加载速度为1 mm/min。疲劳试验施加频率为5 Hz的正弦波形载荷。

图3     耳片螺栓连接结构的安装图
Fig.3     Installation diagram of bolt-connected structure of lug

对于铝合金耳片螺栓连接结构,《飞机设计手册》给出了工程中常用的耳片强度计算方法,其中,极限载荷的计算式如下[   《飞机设计手册》总编委会. 飞机设计手册第9册: 载荷、强度和刚度[M]. 第1版. 北京: 航空工业出版社, 2001: 653–661.Editorial Committee of the Aircraft Design Manual. Aircraft design manual volume 9: Loads, strength, and stiffness[M]. Beijing: Aviation Industry Press, 2001: 653–661.
11
]

Pfα=0, β=0=K0 ·σb ·(D0D)t
(1)

Pfα=0, β=0 ·Kcon1=Pfα, β=0
(2)

Pfα, β=Pfα=0, β=0 ·Kcon1 ·Kcon2
(3)

式中,Pfαβ为倾角β的斜耳片在加载角度α下的极限载荷;K0为效率系数,可从《飞机设计手册》第32.4.2节中查图获得;σb为抗拉强度;D0为耳片外圆直径;D为耳孔直径;Kcon1为加载角度效率系数,Kcon2为耳片倾角效率系数,可从《飞机设计手册》第32.4.3节中查得。上述公式中效率系数K0Kcon1Kcon2由试验数据拟合获得,与试验件的材料、几何尺寸有关。

《飞机设计手册》给出了部分合金材料的效率系数,其他材料则给出了建议值,考虑到屈服极限大小,本文选用B95铝合金的效率系数值作为计算参数。代入后求得单耳结构的最大载荷为45.29 kN,双耳结构的最大载荷为39.52 kN,根据计算结果确定拉伸试验参数。考虑到结构在实际使用环境中的低周疲劳受力较高,接近屈服极限,每次循环过程中均发生塑性变形,因此根据拉伸试验的载荷–位移曲线初步拟定疲劳试验的载荷峰值为25 kN,保证疲劳加载过程中塑性变形不断累积。

考虑到耳片为主要研究对象,为能够充分研究单双耳片的疲劳强度,试验件设计采用的原则为:耳片疲劳强度最低,传力螺栓在单双耳片疲劳破坏前不会断裂。因为双耳片强度更高,为了在疲劳试验中准确记录裂纹扩展过程,单耳结构与一侧双耳结构设置了1 mm的偏置。同时为了仿真裂纹的扩展过程,并缩短试验时长,在第一组单双耳片连接结构低周疲劳试验方案的基础上,在耳片内孔断裂位置人为制造深度为0.5 mm的裂痕,裂痕在耳片结构厚度、宽度方向的长度均为1 mm,随后在此基础上进行低周疲劳试验与仿真。预制裂痕如图4所示。

图4     人为制造的裂痕示意图
Fig.4     Schematic diagram of man-made crack

2     有限元仿真建模

2.1     建模参数

利用ABAQUS有限元软件建立有限元模型,采用线性四面体单元模拟耳片螺栓连接结构,并经过网格收敛性验证。为验证网格合理性,创建了9种不同网格尺寸模型,网格尺寸从1 mm过渡到0.5 mm,网格数量也从8×103个增加到5×105个,计算时间增加了约300%。结果表明,当网格尺寸从1 mm缩小到0.5 mm,极限载荷仅变化0.3%;网格小于1 mm后,细化网格对最终结果的影响很小。耳孔附近有明显的应力集中,因此对其周围网格进行细化,网格尺寸选择0.5 mm,其余区域的应力分布较均匀,网格尺寸选择1 mm。为防止仿真过程中螺栓嵌入耳片中,须保证螺栓的网格尺寸(1.5 mm)大于耳片网格尺寸。耳片和中间含孔夹持端通过Tie约束绑定在一起,使得整个模型的网格划分更简易。螺栓采用ABAQUS解析刚体进行模拟,刚体与耳片间设置接触关系,摩擦因数μ为0.2。拉伸及疲劳试验中使用的双耳和单耳模型是一样的,但载荷不同。

2.2     拉伸模拟结果

以孔心高度为基准,拉伸试验载荷设置为35 kN,加载后,单耳和双耳结构耳孔的周向应力分布云图如图5所示。可以看出,受静力拉伸时,耳片结构的应力集中位置主要为耳片内孔两侧,内孔顶部的应力集中也较为明显,但与内孔两侧相比较安全。这是因为耳片结构的承力部分主要为耳孔两侧。

图5     加载后耳孔的周向应力分布云图
Fig.5     Cloud map of circumferential stress distribution of lug hole after adding load

图6为耳片结构的加载破坏应力云图。从图6(a)和(c)可以看出,双耳结构和单耳结构的断口位置出现在拉伸销上方的耳孔侧边,两侧断口在垂直方向大致平齐,主要表现为剪切断裂形式。双耳和单耳结构完全断裂前的应力云图(图6(b)和(d))结果与王钧仡等[   王钧仡, 秦锋英, 李波, 等. 高强钛合金典型耳片准静态拉伸断裂数值模拟[J]. 塑性工程学报, 2023, 30(10): 151–159.WANG Junyi, QIN Fengying, LI Bo, et al. Numerical simulation of quasi-static tensile fracture of high strength titanium alloy typical lugs[J]. Journal of Plasticity Engineering, 2023, 30(10): 151–159.
9
]
进行的高强钛合金耳片准静态拉伸断裂的模拟结果一致(断裂前的应力集中位置及开裂位置一致)。在断裂前一时刻,拉伸销两侧及上方的应力集中现象明显,并由孔边缘向外辐射。因此可知,整个耳片结构的有效承力部分较少,耳孔上侧中间至边缘位置是拉伸时的主要承载区域。在耳片结构的实际设计中,需要着重关注这一部分的强度。对耳片结构的耦合点设置位移载荷,得到双耳结构仿真试验的位移–载荷曲线(图7),可以看出,双耳结构的极限载荷约为42 kN,与计算得到的双耳结构最大载荷(39.52 kN)较为接近。

图6     耳片结构的加载破坏应力云图
Fig.6     Stress cloud map of loading failure of lug structure
图7     双耳结构的位移–载荷仿真曲线
Fig.7     Simulated displacement–load curve of double lug structure

2.3     疲劳模拟结果

疲劳仿真试验的模型不变,仅在结构静载下的应力集中处添加预制裂口(深度为0.5 mm,实际径向长度为1 mm),疲劳载荷为频率5 Hz的正弦函数波动。根据拉伸破坏试验及仿真结果,双耳耳片结构在承受25 kN载荷时处于变形的弹性阶段末尾,塑性阶段开始,因此疲劳载荷峰值设置为25 kN。通过ABAQUS软件对耳片结构进行疲劳仿真,结果如图8所示。可以看出,耳片结构裂纹在10390次疲劳循环后扩展至断裂,由初始的1 mm延长至4 mm。初始阶段的裂纹扩展较缓慢,在预制裂纹的基础上经过5426次循环,仅扩展至1.5 mm。

图8     疲劳仿真试验结果
Fig.8     Test results of fatigue simulation

3     试验结果

根据试验得到双耳结构的静态拉伸曲线如图9所示。加载开始时,由于夹具及螺栓连接等松动的原因,曲线产生了一定波动,之后载荷随位移几乎呈线性变化,即该阶段变化属于耳片结构的弹性变形范围。在位移加载至4 mm时,曲线斜率没有明显变化,即耳片结构尚未发生断裂,当位移加载达到4.17 mm时,曲线急剧变化,耳片结构发生断裂。王中霆[   王中霆. 典型开孔结构及其螺栓连接结构力学性能分析[D]. 哈尔滨: 哈尔滨工业大学, 2013.WANG Zhongting. Mechanical properties analysis of typical perforated structure and its bolted connection structure[D]. Harbin: Harbin Institute of Technology, 2013.
5
]
对7075铝合金直耳片进行加载试验,发现耳片断裂前载荷–位移曲线的斜率开始明显减小,表明断裂前耳片进入塑性阶段,随后曲线斜率迅速减小,即耳片发生断裂。对比Lian等[   LIAN Y W, ZHAO R, YU K P, et al. P–S–N surfaces of lifting lug structure based on extremely small samples[J]. Engineering Failure Analysis, 2024, 162: 108457.
12
]
对合金钢耳片结构的静力拉伸试验结果发现,本文试验中的耳片结构在塑性变形阶段前发生了断裂。观察上断裂面Ⅱ和下断裂面Ⅰ,发现断裂面较平整光滑,无明显的变形和拉伸痕迹,且断口颜色与材料本身的亮银白色接近,说明耳片结构发生了脆性断裂。断裂面未发现明显气孔、夹杂、裂纹等缺陷,分析可能是由于材料在加工过程中存在工艺缺陷,导致材料内部应力集中和变形不均衡。研究表明,7050铝合金不具有良好的塑性,容易发生脆性断裂[   张新明, 刘胜胆. 航空铝合金及其材料加工[J]. 中国材料进展, 2013, 32(1): 39–55.ZHANG Xinming, LIU Shengdan. Aerocraft aluminum alloys and their materials processing[J]. Materials China, 2013, 32(1): 39–55.
13
]
,这与本文试验结果一致。对比试验结果(图9)与仿真结果(图7)发现,两种耳片结构曲线弹性阶段的趋势较为接近。根据图9可知,双耳结构断裂时的最大载荷记录值为33.2 kN,与仿真结果(约42 kN)相差较大,这是由零件发生脆性断裂所致。

图9     双耳结构的静态拉伸曲线
Fig.9     Static tensile curve of double lug structure

耳片连接件结构简单,但耳孔周围的应力状态比较复杂。在外力作用下,其头部处于拉伸、弯曲和剪切的复合受力状态之下。因此,耳片在轴向载荷作用下,出现如下3种典型的破坏形式:(1)拉伸破坏,耳片拉伸净断面远小于剪切面,耳片以拉断为主;(2)剪切破坏,耳片拉伸净断面远大于剪切面,耳片以剪断为主;(3)拉剪复合破坏,耳片拉伸净断面与剪切面差别不大。试验中单耳结构的破坏形式如图10所示,由于单耳结构较薄,其拉伸净断面大于剪切面,主要发生剪切破坏(如图10(b)中Ⅱ所示)。耳片实际断裂位置及趋势(图10(b))与仿真结果(图10(a))类似,但耳片右侧拉伸断裂后,改变了耳片左侧的裂纹趋势(如图10(b)Ⅰ所示),导致拉伸试验结果与仿真结果不完全相同。

图10     单耳结构的破坏形式
Fig.10     Failure mode of single lug structure

根据试验结果绘制如图11所示的双耳结构疲劳裂纹扩展aN曲线。裂纹由1 mm深的预制裂纹开始扩展,在7686次疲劳循环后扩展至超过4 mm,耳片结构彻底断裂,曲线变化过程符合裂纹扩展规律[   SURESH S. Fatigue of Materials[M]. Cambridge: Cambridge University Press, 1998.
14
]
。疲劳断裂分为裂纹萌生、裂纹扩展及断裂3个阶段[   孟妍. 耳片结构裂纹萌生寿命及扩展仿真与实验研究[D]. 南京: 南京航空航天大学, 2021.MENG Yan. Simulation and experimental study on crack initiation life and propagation of lug[D]. Nanjing: Nanjing University of Aeronautics and Astronautics, 2021.
2
]
,为了更好地记录裂纹扩展的整个过程,对裂纹萌生前及裂纹扩展的3个阶段进行了照片记录:将试验开展前的预制裂纹记录为Ⅰ阶段,Ⅱ~Ⅳ分别对应裂纹扩展的3个阶段。由图11可知,在Ⅱ阶段,裂纹处于初步扩展阶段(裂纹萌生阶段),微裂纹沿滑移面扩展,裂纹尺寸较小,与预制裂纹阶段的尺寸相差不大;Ⅲ为裂纹扩展阶段,裂纹沿着与拉应力垂直的方向扩展,此时可明显观察到尺寸较大的裂纹;Ⅳ为裂纹失稳扩展阶段,裂纹扩展速度加快,几乎扩展至穿过整个表面,耳片结构即将完全断裂。

图11     双耳结构疲劳裂纹扩展的aN曲线
Fig.11     aN curve of fatigue crack propagation of deuble lug structure

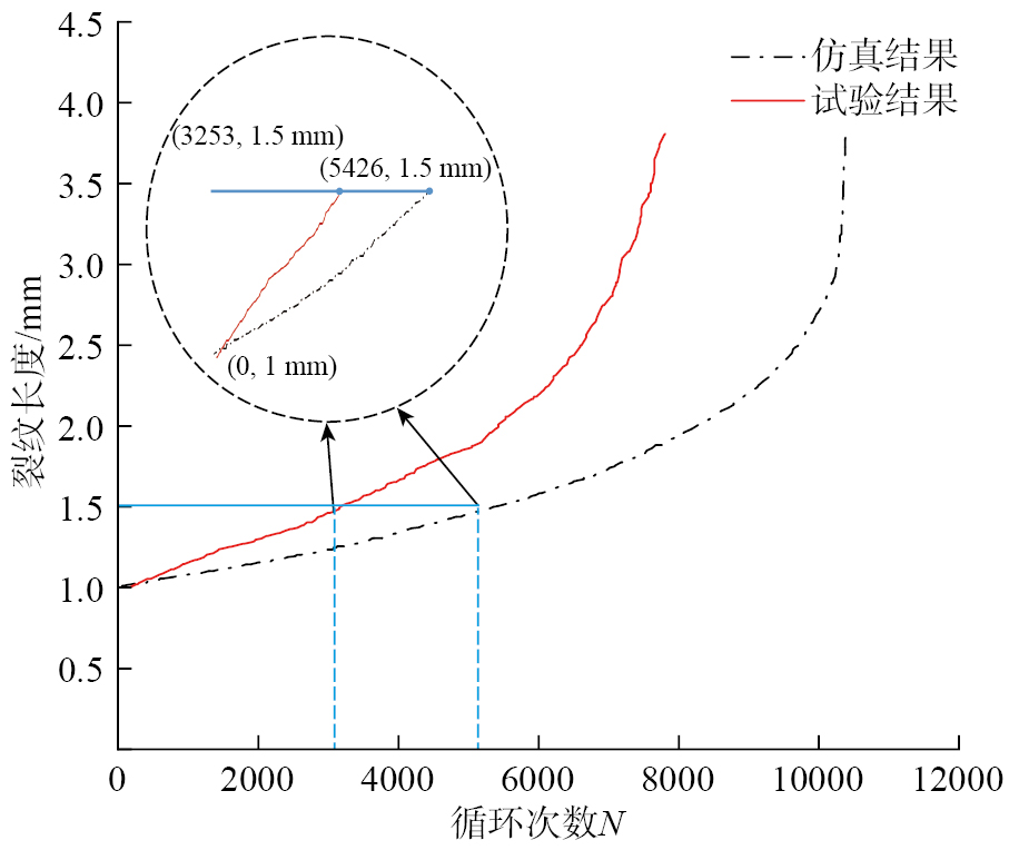
疲劳试验中双耳结构存在偏置,侧耳片首先发生断裂,初始裂纹位置在耳片内孔右上侧,断裂裂纹如图12所示,裂纹整体趋势与仿真结果较为接近,疲劳失效过程分为小裂纹扩展和长裂纹扩展两个阶段。分析裂纹扩展机理为:裂纹萌生阶段裂纹沿着滑移面扩展,此阶段裂纹大约为十几μm,肉眼不可见;随后裂纹逐渐扩展至产生宏观裂纹,扩展方向与拉应力方向垂直,此时裂纹尺寸大于0.1 mm;最后阶段裂纹发生失稳扩展,结构很快断裂。对比双耳结构仿真与疲劳试验得到的aN曲线,如图13所示。可以看出,仿真模型中,耳片结构有更长的疲劳寿命(在达到相同裂纹长度(1.5 mm)时,试验须经过3253次疲劳循环,仿真模型则须经过5426次疲劳循环),且小裂纹扩展阶段更加平缓。这可能是因为在试验加载过程中,单耳偏置导致一侧耳片承受的疲劳载荷更大,从而加快了开裂侧裂纹的扩展速度,缩短了耳片的疲劳寿命周期。在仿真模型中,单耳始终置于双耳中间位置,双耳结构两侧的耳片受力均匀,能够达到理想最大疲劳寿命周期。除了由于单耳偏置的影响,试验与仿真得到的耳片疲劳周期和裂纹扩展曲线的趋势基本一致,验证了模型的合理性。观察疲劳裂纹曲线发现,前期小裂纹扩展阶段所需疲劳循环次数约占总循环周期的一半,而该阶段裂纹扩展长度相对于长裂纹扩展阶段的长度较小。Wang等[   WANG B W, XIE L Y, SONG J X, et al. Failure behavior of aerial bomb lifting lug under variable amplitude loading: Failure analysis and life prediction[J]. Engineering Failure Analysis, 2021, 120: 105000.
15
]
在对铸造航空炸弹吊耳的失效分析与寿命预测中也发现了小裂纹阶段在疲劳全寿命周期中的占比较高,对疲劳寿命的影响较大。

图12     裂纹扩展过程及机理
Fig.12     Propagation process and mechanism of crack
图13     仿真与试验aN曲线的对比
Fig.13     Comparison of aN curves between simulation and experiment

4     结论

(1)结合耳片连接结构的静态拉伸试验及仿真结果可知,双耳、单耳结构的两侧断口在垂直方向大致平齐,主要表现为剪切断裂形式。断裂前拉伸销两侧及上方的应力集中明显,并由孔边缘向外辐射,双耳耳片结构的断裂载荷约为42 kN。

(2)疲劳试验中,在长度为1 mm的预制裂纹的基础上,双耳结构裂纹经过3253次循环扩展至1.5 mm,经过7686次疲劳循环后扩展至超过4 mm,结构彻底断裂,与仿真结果较为接近。

(3)疲劳失效过程可分为小裂纹扩展和长裂纹扩展两个阶段,且小裂纹扩展阶段在疲劳全寿命周期中所占比例较大,零件初期损伤裂纹及缺陷尺寸对疲劳寿命影响较大。

(4)根据耳片结构的拉伸及疲劳试验结果,通过对比疲劳寿命及裂纹扩展过程的试验与仿真结果,验证了仿真模型的正确性。基于静态拉伸试验与仿真结果,分析了耳片结构的应力集中和危险位置,为高强度耳片的设计提供参考依据。

参考文献

[1]

郑光. 某飞机机翼吊挂连接接头破坏试验设计[D]. 南京: 南京航空航天大学, 2013.
ZHENG Guang. Destruction test design of the joints connecting the wing and pylon of XXX aircraft[D]. Nanjing: Nanjing University of Aeronautics and Astronautics, 2013.

[2]

孟妍. 耳片结构裂纹萌生寿命及扩展仿真与实验研究[D]. 南京: 南京航空航天大学, 2021.
MENG Yan. Simulation and experimental study on crack initiation life and propagation of lug[D]. Nanjing: Nanjing University of Aeronautics and Astronautics, 2021.

[3]

李益萱, 王龙. 飞机某典型螺栓连接件的振动疲劳试验研究[J]. 机械科学与技术, 2019, 38(9): 14011405.
LI Yixuan, WANG Long. Study on vibration fatigue testing of aircraft typical bolt connector[J]. Mechanical Science and Technology for Aerospace Engineering, 2019, 38(9): 14011405.

[4]

陈翔宇, 何辉波, 李华英, . 7050–T7451铝合金铣削参数多指标优化研究[J]. 工具技术, 2024, 58(2): 3340.
CHEN Xiangyu, HE Huibo, LI Huaying, et al. Research on multi-indexes optimization of milling parameters for 7050–T7451 aluminum alloy[J]. Tool Engineering, 2024, 58(2): 3340.

[5]

王中霆. 典型开孔结构及其螺栓连接结构力学性能分析[D]. 哈尔滨: 哈尔滨工业大学, 2013.
WANG Zhongting. Mechanical properties analysis of typical perforated structure and its bolted connection structure[D]. Harbin: Harbin Institute of Technology, 2013.

[6]

鞠明明. 大型飞机翼下吊架结构方案设计与优化[D]. 南京: 南京航空航天大学, 2018.
JU Mingming. Structure scheme design and optimization of large aircraft under wing hanger[D]. Nanjing: Nanjing University of Aeronautics and Astronautics, 2018.

[7]

李辉, 陈蓬, 姚泽坤, . 钛合金耳片的静载失效分析与结构优化研究[J]. 航空制造技术, 2017, 60(5): 9699, 104.
LI Hui, CHEN Peng, YAO Zekun, et al. Failure analysis and structure optimization of titanium alloy lug[J]. Aeronautical Manufacturing Technology, 2017, 60(5): 9699, 104.

[8]

周忠义, 徐武, 陆冠, . 300M钢耳片拉伸强度与破坏机制[J]. 机械设计与研究, 2022, 38(5): 225231, 237.
ZHOU Zhongyi, XU Wu, LU Guan, et al. Tensile strength and failure mechanism of 300M steel lugs[J]. Machine Design & Research, 2022, 38(5): 225231, 237.

[9]

王钧仡, 秦锋英, 李波, . 高强钛合金典型耳片准静态拉伸断裂数值模拟[J]. 塑性工程学报, 2023, 30(10): 151159.
WANG Junyi, QIN Fengying, LI Bo, et al. Numerical simulation of quasi-static tensile fracture of high strength titanium alloy typical lugs[J]. Journal of Plasticity Engineering, 2023, 30(10): 151159.

[10]

杨景明. 基于损伤力学的铆接试件疲劳裂纹萌生寿命研究[J]. 四川建筑, 2021, 41(3): 175177, 180.
YANG Jingming. Study on fatigue crack initiation life of riveted specimens based on damage mechanics[J]. Sichuan Architecture, 2021, 41(3): 175177, 180.

[11]

《飞机设计手册》总编委会. 飞机设计手册第9册: 载荷、强度和刚度[M]. 第1版. 北京: 航空工业出版社, 2001: 653661.
Editorial Committee of the Aircraft Design Manual. Aircraft design manual volume 9: Loads, strength, and stiffness[M]. Beijing: Aviation Industry Press, 2001: 653661.

[12]

LIAN Y W, ZHAO R, YU K P, et al. P–S–N surfaces of lifting lug structure based on extremely small samples[J]. Engineering Failure Analysis, 2024, 162: 108457.

[13]

张新明, 刘胜胆. 航空铝合金及其材料加工[J]. 中国材料进展, 2013, 32(1): 3955.
ZHANG Xinming, LIU Shengdan. Aerocraft aluminum alloys and their materials processing[J]. Materials China, 2013, 32(1): 3955.

[14]

SURESH S. Fatigue of Materials[M]. Cambridge: Cambridge University Press, 1998.

[15]

WANG B W, XIE L Y, SONG J X, et al. Failure behavior of aerial bomb lifting lug under variable amplitude loading: Failure analysis and life prediction[J]. Engineering Failure Analysis, 2021, 120: 105000.

目录