TC4钛合金的超低周疲劳性能及破坏机理研究

基金项目

国家自然科学基金(52475169)。

中图分类号:

V2

文献标识码:

A

通信作者

陈立杰,教授,博士生导师,博士,研究方向为结构强度、结构完整性与可靠性、疲劳/断裂、计算力学、计算材料学。

编辑

责编 :晓月

引文格式

吕正源, 黄佳, 魏民, 等. TC4钛合金的超低周疲劳性能及破坏机理研究[J]. 航空制造技术, 2025, 68(21): 145–154.

Study on Ultra-Low Cycle Fatigue Properties and Failure Mechanism of TC4 Titanium Alloy

Citations

LÜ Zhengyuan, HUANG Jia, WEI Min, et al. Study on ultra-low cycle fatigue properties and failure mechanism of TC4 titanium alloy[J]. Aeronautical Manufacturing Technology, 2025, 68(21): 145–154.

航空制造技术    第68卷    第21期    145-154
Aeronautical Manufacturing Techinology    Vol.68    No.21 : 145-154
DOI: 10.16080/j.issn1671-833x.2025.21.145
研究论文(RESEARCH)

TC4钛合金的超低周疲劳性能及破坏机理研究

  • 吕正源 1
  • 黄佳 2
  • 魏民 1
  • 陈立杰 1
1.厦门大学航空航天学院厦门 361102
2.北京强度环境研究所北京 100076

通信作者

陈立杰,教授,博士生导师,博士,研究方向为结构强度、结构完整性与可靠性、疲劳/断裂、计算力学、计算材料学。

基金项目

国家自然科学基金(52475169)。

中图分类号:

V2

文献标识码:

A

引文格式

吕正源, 黄佳, 魏民, 等. TC4钛合金的超低周疲劳性能及破坏机理研究[J]. 航空制造技术, 2025, 68(21): 145–154.

摘要

TC4钛合金是飞行器着陆架等结构件的主要材料,其超低周疲劳性能研究对承受大载荷的飞行器结构的可重复使用性评估至关重要。本文开展了TC4钛合金材料室温下的超低周疲劳试验研究,并分析了疲劳断裂机理。该合金在大载荷疲劳加载条件下表现出持续的循环软化特性,分别基于Coffin–Manson公式、应变能密度模型与幂指函数模型对TC4钛合金的超低周疲劳性能进行了描述,结果表明,在不同应变比下幂指函数模型对超低周疲劳数据的描述能力更强,疲劳寿命分散带更小;在不同应变幅下,材料均出现二次裂纹与孔洞,且随着应变幅增加,断裂模式由正断型向切断型转变。

关键词

TC4;超低周疲劳;疲劳断裂机理;疲劳寿命;疲劳试验;

Study on Ultra-Low Cycle Fatigue Properties and Failure Mechanism of TC4 Titanium Alloy

  • LÜ Zhengyuan 1
  • HUANG Jia 2
  • WEI Min 1
  • CHEN Lijie 1
1.School of Aerospace Engineering, Xiamen University, Xiamen 361102, China
2.Beijing Institute of Structure and Environment Engineering, Beijing 100076, China

Citations

LÜ Zhengyuan, HUANG Jia, WEI Min, et al. Study on ultra-low cycle fatigue properties and failure mechanism of TC4 titanium alloy[J]. Aeronautical Manufacturing Technology, 2025, 68(21): 145–154.

Abstract

TC4 titanium alloy is the main material of aircraft landing frame and other structural parts. The study of its ultra-low cycle fatigue properties is essential for evaluating the reusability of aircraft structures that experience substantial loads. In this paper, the ultra-low cycle fatigue tests on TC4 titanium alloy at room temperature are conducted utilizing the axial strain control method and the fatigue fracture mechanism is analyzed. The alloy exhibits continuous cyclic softening behavior under significant heavy fatigue loading. The ultra-low cycle fatigue properties of TC4 titanium alloy are characterized respectively by the Coffin–Manson formula, the strain energy density-based model and the power-exponent function model, with the latter presenting better properties and precisions for fatigue life prediction under different strain ratios. Under different strain amplitudes, secondary cracks and holes appear in the materials, and as the strain amplitude increases, the fracture mode transitions from the normal fracture to the shear fracture.

Keywords

TC4; Ultra-low cycle fatigue; Fatigue fracture mechanism; Fatigue life; Fatigue tests;



钛合金具有比强度高、韧性好等优点,是空天飞行器的重要结构材料,主要用于制备着陆架结构、起落架结构件等。目前,可重复使用的超高声速飞行器已成为各国新一代飞行器与战略武器发展的新方向[   张灿, 王轶鹏, 叶蕾. 国外近十年高超声速飞行器技术发展综述[J]. 战术导弹技术, 2020(6): 81–86.ZHANG Can, WANG Yipeng, YE Lei. Summary of the technological development of overseas hypersonics in the past ten years[J]. Tactical Missile Technology, 2020(6): 81–86.
1
]
,这类飞行器的服役条件极为严峻,如数十次往返的航天器、飞行中仅能承受数十次机动过载的战略和战术导弹等[   乙晓伟, 王泓, 杨智, 等. 2124–T851厚板S向超低周疲劳行为及断裂特征[J]. 稀有金属材料与工程, 2014, 43(6): 1347–1351.YI Xiaowei, WANG Hong, YANG Zhi, et al. Extremely low cycle fatigue behavior and fracture characteristics of 2124–T851 thick plate in short transverse direction[J]. Rare Metal Materials and Engineering, 2014, 43(6): 1347–1351.
2
]
。以航天飞行器着陆架为例,在飞行器正常服役状态下,由于起降与过载等因素,飞行器的结构件往往承受着较大的交变载荷,着陆时由于冲击载荷过大,着陆架接头等结构局部会发生较大塑性变形,多次飞行任务会积累塑性损伤。因而,材料在经历较少的循环次数(通常在100次以内)后,存在发生超低周疲劳断裂的风险。针对这类飞行器服役的极端载荷条件,超低周疲劳作为低周疲劳问题的延伸也随之被提出。

目前,超低周疲劳的研究内容主要包括试验与寿命预测模型。在试验方面,李有堂[   李有堂, 谭帅, 段红燕. 轴向加载条件下中碳钢的超低周疲劳断裂设计[J]. 兰州理工大学学报, 2007, 33(3): 156–160.LI Youtang, TAN Shuai, DUAN Hongyan. Fracture design of medium carbon steel with extra-low cyclic fatigue under axial loading[J]. Journal of Lanzhou University of Technology, 2007, 33(3): 156–160.
3
]
与罗云蓉[   罗云蓉, 王清远, 付磊, 等. 地震频率对Q235钢结构材料超低周疲劳行为的影响[J]. 实验力学, 2018, 33(5): 743–750.LUO Yunrong, WANG Qingyuan, FU Lei, et al. On the effect of seismic frequency on extremely low cycle fatigue behaviors of Q235 steel structure material[J]. Journal of Experimental Mechanics, 2018, 33(5): 743–750.
4
]
等探讨了载荷形式、加载方式及加载频率对钢材的超低周疲劳寿命的影响。在寿命预测模型方面,超低周疲劳寿命预测模型主要由低周疲劳寿命预测模型发展而来,Coffin–Manson公式与应变能是描述材料低周疲劳的重要方法,不少研究表明,对于超低周疲劳寿命预测,Coffin–Manson公式仍具有一定的适用性,例如,乙晓伟等[   乙晓伟, 王泓, 杨智, 等. 2124–T851厚板S向超低周疲劳行为及断裂特征[J]. 稀有金属材料与工程, 2014, 43(6): 1347–1351.YI Xiaowei, WANG Hong, YANG Zhi, et al. Extremely low cycle fatigue behavior and fracture characteristics of 2124–T851 thick plate in short transverse direction[J]. Rare Metal Materials and Engineering, 2014, 43(6): 1347–1351.
2
]
与吴鑫等[   吴鑫, 付磊, 张应迁, 等. 氢对30CrMo钢拉伸和超低周疲劳性能的影响[J]. 钢铁研究学报, 2024, 36(3): 378–388.WU Xin, FU Lei, ZHANG Yingqian, et al. Effect of hydrogen on tensile and ultra-low cycle fatigue properties of 30CrMo steel[J]. Journal of Iron and Steel Research. 2024, 36(3): 378–388.
5
]
分别采用Coffin–Manson公式描述铝合金棒材与30CrMo钢的名义应变幅–超低周疲劳寿命的关系。Kang等[   KANG L, GE H B. Predicting ductile crack initiation of steel bridge structures due to extremely low-cycle fatigue using local and non-local models[J]. Journal of Earthquake Engineering, 2013, 17(3): 323–349.
6
]
对比了Tateishi、Xue及原始Coffin–Manson 3种模型对SM490A母材及焊接区域的超低周疲劳寿命预测结果,结果显示3种模型没有显著差异。然而,也有研究者指出,基于Coffin–Manson公式的超低周疲劳寿命预测结果会出现较大偏差,并为此进行了相应的修正与改进,Pereira等[   PEREIRA J C R, DE JESUS A M P, XAVIER J, et al. Ultra low-cycle fatigue behaviour of a structural steel[J]. Engineering Structures, 2014, 60: 214–222.
7
]
对S185结构钢缺口试件的超低周疲劳试验结果表明,采用Coffin–Manson公式会过低估计超低周疲劳寿命。Xue[   XUE L. A unified expression for low cycle fatigue and extremely low cycle fatigue and its implication for monotonic loading[J]. International Journal of Fatigue, 2008, 30(10–11): 1691–1698.
8
]
在Coffin–Manson公式基础上提出了一个指数型损伤函数,实现了从超低周疲劳到低周疲劳范围内的寿命预测。Kuroda等[   KURODA M. Extremely low cycle fatigue life prediction based on a new cumulative fatigue damage model[J]. International Journal of Fatigue, 2002, 24(6): 699–703.
9
]
在Coffin–Manson公式基础上,引入裂纹扩展系数与延性损伤,其预测结果与试验结果吻合良好。另外,在低周疲劳寿命预测的基于Coffin–Manson公式的体系方法中,模型描述能力比较强的是陈立杰等[   陈立杰, 冮铁强, 谢里阳. 应用幂变换法构造低周疲劳寿命预测的幂指函数模型[J]. 航空学报, 2006, 27(2): 267–271.CHEN Lijie, GANG Tieqiang, XIE Liyang. Power-exponent function model of low-cycle fatigue life prediction based on power transformation methods[J]. Acta Aeronautica et Astronautica Sinica, 2006, 27(2): 267–271.
10
]
提出的幂指函数模型,但其研究中的数据亦有部分处于超低周疲劳范畴。从宏观来看,疲劳过程是一个能量循环吸收与扩散的过程[   SHAO C W, ZHANG P, LIU R, et al. Low-cycle and extremely-low-cycle fatigue behaviors of high-Mn austenitic TRIP/TWIP alloys: Property evaluation, damage mechanisms and life prediction[J]. Acta Materialia, 2016, 103: 781–795.
  SHI G, GAO Y, WANG X, et al. Energy-based low cycle fatigue analysis of low yield point steels[J]. Journal of Constructional Steel Research, 2018, 150: 346–353.
  班慧勇, 杨晓峰, 石永久. 基于应变能的不锈钢复合钢材低周疲劳性能研究[J]. 建筑结构学报, 2023, 44(12): 216–224.BAN Huiyong, YANG Xiaofeng, SHI Yongjiu. Strain energy-based low-cycle fatigue behaviour analyses of stainless-clad bimetallic steel[J]. Journal of Building Structures, 2023, 44(12): 216–224.
11-13
]
。因此,除Coffin–Manson公式体系的方法外,应变能也常作为重要参数用于描述材料的疲劳寿命。Shi等[   SHI G, GAO Y, WANG X, et al. Energy-based low cycle fatigue analysis of low yield point steels[J]. Journal of Constructional Steel Research, 2018, 150: 346–353.
12
]
基于能量的方法研究了国产低屈服点钢的低周疲劳行为,其试验结果涵盖了部分超低周疲劳数据,且预测结果处于1.2倍分散带内,间接说明了基于能量的方法对超低周疲劳具有一定的适用性。班慧勇等[   班慧勇, 杨晓峰, 石永久. 基于应变能的不锈钢复合钢材低周疲劳性能研究[J]. 建筑结构学报, 2023, 44(12): 216–224.BAN Huiyong, YANG Xiaofeng, SHI Yongjiu. Strain energy-based low-cycle fatigue behaviour analyses of stainless-clad bimetallic steel[J]. Journal of Building Structures, 2023, 44(12): 216–224.
13
]
基于应变能对复合钢材的低周疲劳寿命进行研究,模型对于疲劳寿命在10~10000周次范围内具有良好的预测结果,试验数据涵盖了超低周疲劳的部分。

上述超低周疲劳的研究主要集中在结构钢及铝合金等材料,关于TC4钛合金的超低周疲劳性能却鲜有报道。TC4钛合金在飞行器部件使用的钛合金中占比约为80%~90%[   白澄岩, 兰亮, 辛如意, 等. 增材制造Ti–6Al–4V钛合金低周疲劳性能研究进展[J]. 材料科学与工艺, 2023, 31(1): 79–90.BAI Chengyan, LAN Liang, XIN Ruyi, et al. Research progress on low-cycle fatigue properties of Ti–6Al–4V alloy by additive manufacturing[J]. Materials Science and Technology, 2023, 31(1): 79–90.
14
]
,目前考虑飞行器结构件常规服役环境条件,对TC4钛合金的研究主要集中于高/低周疲劳以及裂纹扩展等相关的研究工作,然而在大应变载荷条件下对其超低周疲劳性能未见相关的系统研究报道。值得注意的是,部分低周疲劳试验研究工作在低寿命区的数据已达到超低周疲劳范畴[   LONG J, ZHANG L J, ZHU L, et al. Comparison of low-cycle fatigue properties of two kinds of high energy beam welded joints of TC4 alloy[J]. Transactions of Nonferrous Metals Society of China, 2023, 33(11): 3376–3386.
  KIMURA Y, OGAWA F, ITOH T. Fatigue property of additively manufactured Ti–6Al–4V under nonproportional multiaxial loading[J]. Chinese Journal of Mechanical Engineering, 2021, 34(1): 103.
  WU M, ITOH T, SHIMIZU Y, et al. Low cycle fatigue life of Ti–6Al–4V alloy under non-proportional loading[J]. International Journal of Fatigue, 2012, 44: 14–20.
  VINJAMURI R, DWIVEDI P K, SABAT R K, et al. Role of crystallographic orientation on the deformation behaviour of Ti–6Al–4V alloy during low cycle fatigue[J]. Philosophical Magazine, 2023, 103(7): 673–692.
  XI J J, HU Y, XING H, et al. The low-cycle fatigue behavior, failure mechanism and prediction of SLM Ti–6Al–4V alloy with different heat treatment methods[J]. Materials, 2021, 14(21): 6276.
15-19
]
。为此,本文开展TC4钛合金超低周疲劳性能的试验研究,并分析其超低周疲劳断裂机理,分析几种低周疲劳寿命预测模型对超低周疲劳问题的适用性,为大载荷下可重复使用钛合金结构件的疲劳可靠性评估提供基础支撑。

1     试验材料与超低周疲劳试验方法

试验材料为TC4钛合金,材料在退火状态,L向(Longitudinal)取样(即纵向取样),超低周疲劳试验件的形状及几何尺寸如图1所示。单轴拉伸试验在UTM 9100电液伺服动静万能试验机上完成,室温下测得TC4材料的常规力学性能参数为弹性模量E=103.68 GPa、屈服强度σ0.2=868.77 MPa、延伸率δ=14.94%。

图1     试样及其几何尺寸(mm)
Fig.1     Sample and its geometric dimensions(mm)

超低周疲劳试验参照GB/T 15248—2008《金属材料轴向等幅低循环疲劳试验方法》,试验设备为UTM 9100电液伺服动静万能试验机,室温下疲劳试验采用轴向应变控制,疲劳载荷为恒幅三角波,频率为0.1 Hz,在3种应变比(0.05、0.2、0.5)下进行应变幅∆ε/2为1.0%、1.5%、2.0%、2.5%及3.0%的疲劳试验,每个加载水平保证至少4根试样,所有试样加载至断裂为止。疲劳试验后对断口进行扫描电镜(SEM)观测,分析材料疲劳破坏机理。

2     试验结果与讨论

TC4的超低周疲劳试验获得的总应变幅–寿命数据如图2所示。在不同应变比下,当应变幅高于2.0%时,材料疲劳寿命大幅下降,寿命低于100周次,且在超低周疲劳范围内。在相同的应变幅下,应变比R为0.05与0.2时的材料疲劳寿命十分接近;在高应变比R为0.5的试验条件下,材料的疲劳寿命随应变幅的增大衰减更快,尤其在应变幅高于2.0%时,与其他应变比条件试验结果相比,材料的疲劳寿命急剧下降。

图2     TC4超低周疲劳试验结果
Fig.2     Results of ultra-low cycle fatigue tests on TC4 titanium alloy

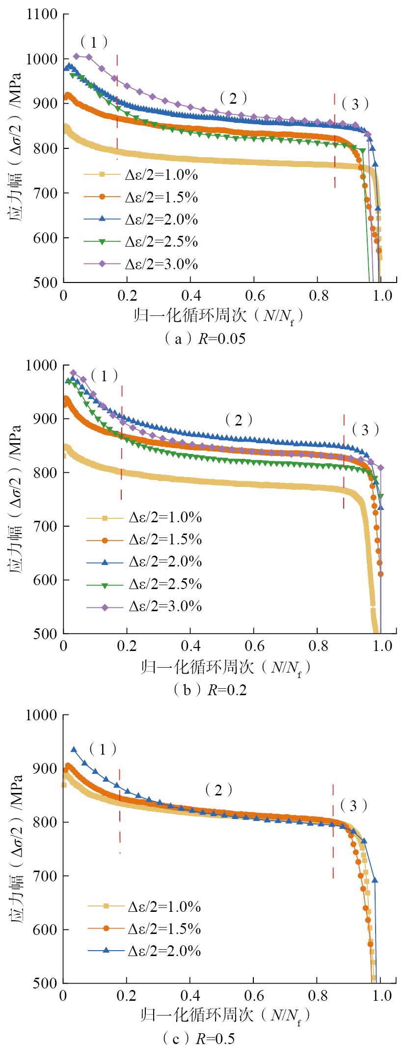
2.1     循环应力响应特性

循环应力响应曲线可以反映材料在循环加载过程中的力学行为变化情况,可以通过疲劳试验中最大应力σmax或应力幅Δσ/2随总循环次数Nf的变化规律来表征,反映材料的循环硬化或软化行为。不同应变比下TC4钛合金室温下的超低周疲劳循环应力响应曲线如图3所示。

图3     室温下TC4钛合金Δσ/2–循环周次曲线与σmax–循环周次曲线
Fig.3     Δσ/2–cycle curves and σmax–cycle curves of TC4 titanium alloy at room temperature

图3可知,在相同的应变比下TC4钛合金在超低周疲劳试验过程中循环应力响应依赖于施加的应变幅(∆ε/2)值,具体表现为:当∆ε/2≤2.0%时,循环应力响应呈现轻微硬化后出现持续循环软化的特性;当∆ε/2>2.0%时,随着循环次数的增加,最大循环应力或循环应力幅持续稳定下降,表现持续循环软化的特性。σmax或Δσ/2随Nf的变化表现出相似的循环应力响应规律,TC4合金在超低周疲劳试验中,主要表现出稳定的循环软化特性,在许多TC4钛合金的特性研究[   JHA J S, DHALA S, TOPPO S P, et al. Effect of strain amplitude on low cycle fatigue and microstructure evolution in Ti–6Al–4V : A TKD and TEM characterization[J]. Materials Characterization, 2019, 155: 109829.
  XU H F, YE D Y, MEI L B. A study of the back stress and the friction stress behaviors of Ti–6Al–4V alloy during low cycle fatigue at room temperature[J]. Materials Science and Engineering: A, 2017, 700: 530–539.
  WANG Q, REN J Q, XIN C, et al. Low cycle fatigue behavior of near-alpha titanium alloys used in deep-driving submersible: Ti–6Al–3 Nb–2Zr–1Mo vs. Ti–6Al–4 V ELI[J]. Journal of Alloys and Compounds, 2023, 934: 167856.
  罗云蓉, 王清远, 刘永杰, 等. Q235、Q345钢结构材料的低周疲劳性能[J]. 四川大学学报(工程科学版), 2012, 44(2): 169–175.LUO Yunrong, WANG Qingyuan, LIU Yongjie, et al. Low cycle fatigue properties of steel structure materials Q235 and Q345[J]. Journal of Sichuan University (Engineering Science Edition), 2012, 44(2): 169–175.
20-23
]
中均观测到与本文相同的循环软化现象。

值得注意的是,在较大∆ε/2下(∆ε/2>2.0%时),循环软化非常迅速,这是由于此时材料内部的损伤较为严重,损伤随着循环加载进程而快速发展。文献[   VINJAMURI R, DWIVEDI P K, SABAT R K, et al. Role of crystallographic orientation on the deformation behaviour of Ti–6Al–4V alloy during low cycle fatigue[J]. Philosophical Magazine, 2023, 103(7): 673–692.
18
]中指出,较高应变幅下的循环变形有利于位错的重排并形成亚晶粒,这可能是导致循环加载时应力降低的原因。

为了进一步描述应变幅在材料循环过程中的演化行为,以当前循环次数/总循环次数N/Nf为横坐标绘制的应变幅–归一化循环周次如图4所示(应变比R=0.5,应变幅∆ε/2为2.5%与3.0%时试件寿命过低,未在图中绘制),可以看出,TC4合金的循环应力响应行为可以主要分为3个阶段:(1)初始阶段。该阶段TC4合金快速软化,约占总寿命的15%~20%;(2)逐步软化阶段。该阶段TC4合金软化速率平缓,达到疲劳寿命的80%~90%;(3)疲劳破坏阶段。在该阶段由于宏观的疲劳裂纹扩展,应力幅值迅速下降至试件破坏。

图4     室温下TC4钛合金超低周疲劳试验应力幅的演化
Fig.4     Evolution of stress amplitude of TC4 titanium alloy at room temperature

2.2     应力–应变滞回线

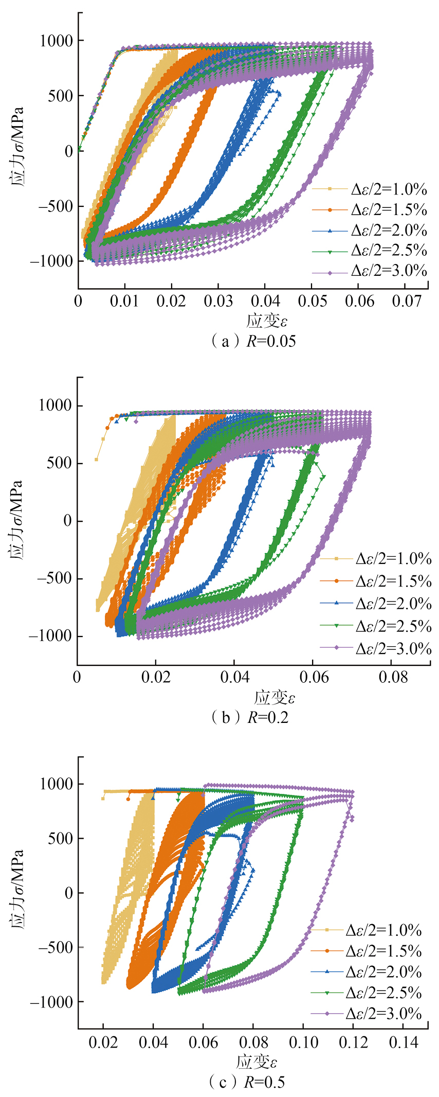
TC4钛合金材料超低周疲劳试验的应力–应变滞回曲线如图5所示。

图5     室温下TC4钛合金应力–应变滞回曲线
Fig.5     Stress-strain hysteresis curve of TC4 at room temperature

在不同应变比与应变幅的试验条件下,TC4钛合金材料均出现明显迟滞现象,塑性变形特征显著。在同一应变比下,随着应变幅的增加,滞回环曲线逐渐右移,滞回环面积逐渐增加,即材料应变能逐渐增大;滞回曲线随着循环周次的增加出现明显的下降趋势,表现出明显的循环软化特性。

不同试件应变能密度由半寿命应力–应变滞回曲线面积得到[   姚卫星. 结构疲劳寿命分析[M]. 北京: 科学出版社, 2019.YAO Weixing. Fatigue life estimation of structures[M]. Beijing: Science Press, 2019.
24
]
,其结果平均值如表1所示。对于超低周疲劳这种较大载荷加载,同一应变幅下,不同应变比的试件平均应变能密度相似;在同一应变比下,试件平均应变能密度随着加载应变幅的增加而增大,平均应变能密度与应变幅近似呈线性关系。

表1     试件平均应变能密度
Table 1     Specimen average strain energy density

(MJ ·m–3

应变比R 应变幅(∆ε/2)/%
1.0 1.5 2.0 2.5 3.0
0.05 5.191 18.725 31.125 43.863 57.324
0.2 5.800 17.467 30.720 44.148 55.921
0.5 6.891 17.493 31.581 43.259 58.020

2.3     超低周疲劳寿命特性

2.3.1     应变–寿命曲线

Coffin–Manson公式[   GE H B, KANG L. A damage index-based evaluation method for predicting the ductile crack initiation in steel structures[J]. Journal of Earthquake Engineering, 2012, 16(5): 623–643.
25
]
是应用最多的低周疲劳寿命模型之一。已有部分研究工作表明,Coffin–Manson方程对超低周疲劳寿命的预测具有一定的适用性[   LONG J, ZHANG L J, ZHU L, et al. Comparison of low-cycle fatigue properties of two kinds of high energy beam welded joints of TC4 alloy[J]. Transactions of Nonferrous Metals Society of China, 2023, 33(11): 3376–3386.
15
  甘露萍, 黄洪钟, 袁容, 等. 基于总应变能密度的轮盘低周疲劳寿命模型及可靠性研究[J]. 中国科技论文, 2012, 7(8): 616–621.GAN Luping, HUANG Hongzhong, YUAN Rong, et al. Low cyclic fatigue life model and reliability analysis of turbine disks using total strain energy density[J]. China Sciencepaper, 2012, 7(8): 616–621.
26
]
。在较大循环荷载下,材料进入弹塑性变形阶段,材料最薄弱位置的总应变幅对疲劳寿命的作用可以表示为弹性应变幅与塑性应变幅的共同作用。

Δε2=Δεe2+Δεp2=σfE(2Nf)b+εf(2Nf)c
(1)

式中,∆εe/2与∆εp/2分别为弹性应变幅与塑性应变幅;E为弹性模量;bσf分别为疲劳强度指数和疲劳强度系数;cεf分别为疲劳延性指数和疲劳延性系数。在双对数坐标下弹性应变幅和塑性应变幅与疲劳寿命分别呈线性关系。

本文中的∆εe/2与∆εp/2取自半寿命稳定的滞回曲线,在不同的应变比下,取Nf≤100的所有试验数据,在双对数坐标下进行拟合。由此得到不同应变比下的Coffin–Manson经验公式如表2所示。

表2     Coffin–Manson公式
Table 2     Coffin–Manson formula
应变比R Coffin–Manson模型
0.05 Δε2=0.0134×(2Nf)0.0991+0.0843×(2Nf)0.3772 (2)
0.2 Δε2=0.0091×(2Nf)0.0083+0.1189×(2Nf)0.4357 (3)
0.5 Δε2=0.0111×(2Nf)0.0643+0.0234×(2Nf)0.1388 (4)

试件在不同应变比下的弹性应变幅–寿命、塑性应变幅–寿命以及总应变幅–寿命曲线如图6所示。由图6可知,Coffin–Manson疲劳寿命经验公式对TC4超低周疲劳试验寿命数据能得到较好的拟合结果。同时可以看出,在Nf≤100情况下,TC4材料超低周疲劳寿命主要由塑性应变所主导,随着应变比的增加,疲劳数据分散性明显增大,数据分散带为4.45倍因子,因而Coffin–Manson不适用于TC4材料超低周疲劳问题的描述。

图6     室温TC4不同应变比下的超低周疲劳试验总应变幅–寿命曲线
Fig.6     Total strain-life curves of ultra-low cycle fatigue test at different strain ratios of TC4 at room temperature

2.3.2     基于应变能密度的疲劳寿命曲线

疲劳损伤过程实际上就是一个能耗过程,每一循环损伤能为材料在该循环下吸收的塑性应变能,因而基于能量准则的损伤模型,可能会更贴近工程实际[   甘露萍, 黄洪钟, 袁容, 等. 基于总应变能密度的轮盘低周疲劳寿命模型及可靠性研究[J]. 中国科技论文, 2012, 7(8): 616–621.GAN Luping, HUANG Hongzhong, YUAN Rong, et al. Low cyclic fatigue life model and reliability analysis of turbine disks using total strain energy density[J]. China Sciencepaper, 2012, 7(8): 616–621.
26
]
。故本文基于能量准则,采用应变能密度模型。

W · Nfα=A
(5)

式中,W为应变能密度,αA为拟合参数。对TC4钛合金超低周疲劳试验数据进行处理。拟合结果如表3图7所示。

表3     应变能密度模型
Table 3     Strain energy density model
应变比R 应变能密度模型
0.05 W · Nf0.4335=215.176 (6)
0.2 W · Nf0.4331=232.943 (7)
0.5 W · Nf0.1735=63.838 (8)

图7     室温下TC4应变能密度–疲劳寿命关系曲线
Fig.7     Curve of strain energy density-fatigue life at room temperature

图7所示,采用应变能密度模型公式对TC4超低周疲劳试验中应变能密度–疲劳寿命数据进行处理,效果与采用Manson–Coffin方程描述相近,数据分散带为4倍因子,可见应变能密度模型(式(5))虽然对超低周疲劳性能的描述能力优于Manson–Coffin方程,但仍不适用于TC4材料超低周疲劳问题。

2.3.3     幂指函数模型[   XI J J, HU Y, XING H, et al. The low-cycle fatigue behavior, failure mechanism and prediction of SLM Ti–6Al–4V alloy with different heat treatment methods[J]. Materials, 2021, 14(21): 6276.
19
]

文献[19]指出,Manson–Coffin可作为幂指函数模型在双对数坐标系下的一阶线性近似模型,文中采用幂变换方法构造的低周疲劳寿命预测的幂指函数模型,即

Δεp2=e[K0ln(2Nf)+C0]1/p
(9)

式中,K0C0p为拟合参数。

采用幂指数函数模型(式(9))对TC4钛合金超低周疲劳试验数据进行处理,其结果如图8表4所示。

图8     室温下TC4基于幂指函数模型的塑性应变幅–疲劳反向数曲线
Fig.8     Curve of plastic strain amplitude and fatigue reversals of TC4 based on power-exponential function model at room temperature
表4     幂指函数模型拟合结果
Table 4     Fitting results of power-exponential function model
应变比R 幂指函数模型
0.05 Δεp/2=e[0.16708ln(2Nf)+1.9251]1/0.6896 (10)
0.2 Δεp/2=e[0.19461ln(2Nf)+1.7651]1/0.6896 (11)
0.5 Δεp/2=e[0.06206ln(2Nf)+2.4914]1/0.6896 (12)

在3种应变比下,幂指函数模型预测结果除两点外均位于二倍分散带内。由此可见,幂指函数模型对TC4材料的超低周疲劳数据有较强的描述能力。通过图78可以看到,R=0.05和R=0.5的相关系数均较高,而R=0.2的相关系数都低于90%,分析原因如下:(1)局部应变分布不均匀(如滑移带或孪晶活动的随机性增加),从而降低了宏观参数的统计相关性;(2)不同试验批次对试验结果带来的数据分散性;(3)中应变比下,Δε/2与平均应力σm的耦合作用可能造成韧性断裂与解离(同时存在韧窝与解离面),进而产生疲劳数据的分散。

2.3.4     结果对比

图9为Coffin–Manson公式、应变能密度模型及幂指函数模型预测结果对比图,在R=0.05和R=0.2两种应变比下,基于Coffin–Manson公式与应变能密度的寿命模型得到寿命预测结果均在二倍误差分散带内,最大误差因子分别为1.31和1.76;而在R=0.5应变比条件下,Coffin–Manson公式寿命预测结果大多数处于二倍误差分散带内,最大误差因子为4.45;对于应变能密度模型,在R=0.05、R=0.2和R=0.5 3个应变比下,最大误差分散因子分别为1.34、1.54和4.00。幂指函数模型在3种应变比下,预测结果除两点外均位于二倍误差分散带内,其最大误差因子为2.25,相较Coffin–Manson公式,寿命预测精度有了显著的提高,而Coffin–Manson公式及应变能密度模型在大应变比条件下均存在较大误差,应变能密度模型略优于Coffin–Manson公式。整体上看,幂指函数模型误差分散带更小,误差因子最低,幂指函数模型对TC4钛合金超低周疲劳寿命进行预测具有很好的适用性。

图9     Coffin–Manson、应变能密度模型及幂指函数模型预测结果对比
Fig.9     Comparison of predicted results among Coffin–Manson, strain energy density models and power-exponential function model

3     断口分析

高应变比下,宏观断口形貌(放射区、剪切唇)可清晰区分韧性/脆性断裂模式。在中、低应变比下,此时循环稳定,可反映裂纹、扩展与断裂的微观机制。为研究TC4材料超低周疲劳断裂机制,以应变比R=0.5下不同应变幅下试件断口为典型进行宏观分析;在应变比R=0.05、0.2下进行微观分析。如图10(a)~(c)所示,随着应变幅的增加,宏观断裂面特征逐渐由正断型向45º切断型转变,在大应变幅下,宏观断裂面与单轴拉伸断裂面类似。

图10     应变比R=0.5下TC4钛合金超低周疲劳试验断口宏观形貌
Fig.10     Macroscopic view of TC4 titanium alloy under ultra-low cycle fatigue test R=0.5

图10(d)~(f)为应变比R=0.5下不同应变比的超低周疲劳试件宏观视图,图中红色箭头所示即为裂纹疲劳源区,A区为疲劳裂纹扩展区;B区为瞬断区。在低应变幅下,裂纹在试样的表面上萌生,且存在多个疲劳源区,不同疲劳源不在一个平面上,扩展连接形成台阶,因而断口表面比较粗糙;同时可以看出在裂纹扩展区断口相对平坦,瞬断区相对粗糙,表现出典型的剪切断裂特征,表明瞬时断裂过程中存在较大的塑性变形。随着应变幅的增加,疲劳裂纹扩展区面积逐渐减少,瞬断区面积逐渐增加;在3%应变幅下,疲劳裂纹源特征不明显,宏观断口疲劳裂纹扩展区与瞬断区划分不明显。

图11(a)为疲劳源区放大后的形貌,有夹杂存在,呈现放射状并向四周扩展;图11(b)为初始裂纹扩展区,在断口上存在许多台阶,即为疲劳条纹,在裂纹扩展过程中,各台阶相互汇合形成河流花样;图11(c)为存在裂纹扩展区末端形貌,该区断口特征为韧窝与光滑的准解离面两部分组成,由此可见在裂纹扩展的最后阶段,裂纹以延性与准解理断裂组成的混合模式不断扩展,并最终造成试件断裂破坏。

图11     疲劳源区与裂纹扩展区形貌
Fig.11     Morphology of fatigue source region and crack propagation region

图12图10(d)~(f)红色框中局部放大SEM照片。可见断口表面呈现出大量韧窝,表现为延性断裂,随着应变幅的增大,塑性断裂特征更加明显,韧窝由小而浅转变为大而深。

图12     不同应变幅下TC4的微观断口形貌
Fig.12     Microscopic fracture morphology of TC4 under different strain amplitudes

超低周疲劳损伤主要源自材料疲劳裂纹的萌生与扩展,在较高载荷的作用下材料表面或次表面缺陷都起着尖端缺口的作用,可诱发应力集中,从而促进疲劳裂纹的萌生。在主裂纹扩展过程中,裂纹尖端的高应力区域会促使材料内部的微观缺陷(孔洞、夹杂物等)处发生局部塑性变形或者开裂,从而产生二次裂纹。在不同应变幅下,疲劳断口上均观测到了二次裂纹,如图13所示,二次裂纹的周围分布着较多微孔洞,由此得出,TC4钛合金的超低周疲劳失效过程中,受拉/压循环加载时会产生较大的塑性应变,从而引起微孔洞产生与扩张,进而形成微裂纹,伴随着裂纹扩展与微型孔洞的扩张,二者之间的边界逐渐变薄,在疲劳循环的最后阶段随着损伤进一步加剧,多个微裂纹的连接形成长裂纹,使得材料的承载能力急速下降,在宏观上表现为试样在循环应力响应的最后阶段软化加剧的行为,并最终导致了材料的超低周疲劳破坏。

图13     TC4超低周疲劳裂纹形成微观形貌
Fig.13     Fracture morphology of TC4 forming with ultra-low cycle fatigue crack

4     结论

在超低周疲劳试验中,TC4钛合金材料表现出明显的循环软化特征,且超低周疲劳破坏主要由塑性应变主导。随着应变比的增加,Coffin–Manson公式与应变能密度模型对超低周疲劳问题不再适用;而幂指函数模型在各个应变比下均能很好地描述TC4钛合金超低周疲劳性能;在大应变比下,相较于Coffin–Manson公式,应变能密度模型对超低周疲劳性能的描述能力略好,但整体上看,采用幂指函数模型对TC4超低周疲劳寿命描述更具优越性,尤其是在大应变比条件下。

TC4超低周疲劳试验试件断口具有多疲劳源特征,低应变幅下裂纹主要萌生于试样表面。不同应变幅下观察到较多韧窝,表现为韧性断裂。随着应变幅的增大,超低周疲劳试样的裂纹扩展区面积占比减小,瞬断区面积占比增大。在高应变幅下,无明显疲劳源特征,且宏观断口疲劳裂纹扩展区与瞬断区划分不明显。在不同应变幅的试验条件下,超低周疲劳试验试件断口均观察到了二次裂纹、微孔洞、微孔洞合并,较大塑性应变作用下微孔洞的产生与扩张导致了多裂纹的产生,最终引起材料的疲劳破坏。

参考文献

[1]

张灿, 王轶鹏, 叶蕾. 国外近十年高超声速飞行器技术发展综述[J]. 战术导弹技术, 2020(6): 8186.
ZHANG Can, WANG Yipeng, YE Lei. Summary of the technological development of overseas hypersonics in the past ten years[J]. Tactical Missile Technology, 2020(6): 8186.

[2]

乙晓伟, 王泓, 杨智, . 2124–T851厚板S向超低周疲劳行为及断裂特征[J]. 稀有金属材料与工程, 2014, 43(6): 13471351.
YI Xiaowei, WANG Hong, YANG Zhi, et al. Extremely low cycle fatigue behavior and fracture characteristics of 2124–T851 thick plate in short transverse direction[J]. Rare Metal Materials and Engineering, 2014, 43(6): 13471351.

[3]

李有堂, 谭帅, 段红燕. 轴向加载条件下中碳钢的超低周疲劳断裂设计[J]. 兰州理工大学学报, 2007, 33(3): 156160.
LI Youtang, TAN Shuai, DUAN Hongyan. Fracture design of medium carbon steel with extra-low cyclic fatigue under axial loading[J]. Journal of Lanzhou University of Technology, 2007, 33(3): 156160.

[4]

罗云蓉, 王清远, 付磊, . 地震频率对Q235钢结构材料超低周疲劳行为的影响[J]. 实验力学, 2018, 33(5): 743750.
LUO Yunrong, WANG Qingyuan, FU Lei, et al. On the effect of seismic frequency on extremely low cycle fatigue behaviors of Q235 steel structure material[J]. Journal of Experimental Mechanics, 2018, 33(5): 743750.

[5]

吴鑫, 付磊, 张应迁, . 氢对30CrMo钢拉伸和超低周疲劳性能的影响[J]. 钢铁研究学报, 2024, 36(3): 378388.
WU Xin, FU Lei, ZHANG Yingqian, et al. Effect of hydrogen on tensile and ultra-low cycle fatigue properties of 30CrMo steel[J]. Journal of Iron and Steel Research. 2024, 36(3): 378388.

[6]

KANG L, GE H B. Predicting ductile crack initiation of steel bridge structures due to extremely low-cycle fatigue using local and non-local models[J]. Journal of Earthquake Engineering, 2013, 17(3): 323349.

[7]

PEREIRA J C R, DE JESUS A M P, XAVIER J, et al. Ultra low-cycle fatigue behaviour of a structural steel[J]. Engineering Structures, 2014, 60: 214222.

[8]

XUE L. A unified expression for low cycle fatigue and extremely low cycle fatigue and its implication for monotonic loading[J]. International Journal of Fatigue, 2008, 30(10–11): 16911698.

[9]

KURODA M. Extremely low cycle fatigue life prediction based on a new cumulative fatigue damage model[J]. International Journal of Fatigue, 2002, 24(6): 699703.

[10]

陈立杰, 冮铁强, 谢里阳. 应用幂变换法构造低周疲劳寿命预测的幂指函数模型[J]. 航空学报, 2006, 27(2): 267271.
CHEN Lijie, GANG Tieqiang, XIE Liyang. Power-exponent function model of low-cycle fatigue life prediction based on power transformation methods[J]. Acta Aeronautica et Astronautica Sinica, 2006, 27(2): 267271.

[11]

SHAO C W, ZHANG P, LIU R, et al. Low-cycle and extremely-low-cycle fatigue behaviors of high-Mn austenitic TRIP/TWIP alloys: Property evaluation, damage mechanisms and life prediction[J]. Acta Materialia, 2016, 103: 781795.

[12]

SHI G, GAO Y, WANG X, et al. Energy-based low cycle fatigue analysis of low yield point steels[J]. Journal of Constructional Steel Research, 2018, 150: 346353.

[13]

班慧勇, 杨晓峰, 石永久. 基于应变能的不锈钢复合钢材低周疲劳性能研究[J]. 建筑结构学报, 2023, 44(12): 216224.
BAN Huiyong, YANG Xiaofeng, SHI Yongjiu. Strain energy-based low-cycle fatigue behaviour analyses of stainless-clad bimetallic steel[J]. Journal of Building Structures, 2023, 44(12): 216224.

[14]

白澄岩, 兰亮, 辛如意, . 增材制造Ti–6Al–4V钛合金低周疲劳性能研究进展[J]. 材料科学与工艺, 2023, 31(1): 7990.
BAI Chengyan, LAN Liang, XIN Ruyi, et al. Research progress on low-cycle fatigue properties of Ti–6Al–4V alloy by additive manufacturing[J]. Materials Science and Technology, 2023, 31(1): 7990.

[15]

LONG J, ZHANG L J, ZHU L, et al. Comparison of low-cycle fatigue properties of two kinds of high energy beam welded joints of TC4 alloy[J]. Transactions of Nonferrous Metals Society of China, 2023, 33(11): 33763386.

[16]

KIMURA Y, OGAWA F, ITOH T. Fatigue property of additively manufactured Ti–6Al–4V under nonproportional multiaxial loading[J]. Chinese Journal of Mechanical Engineering, 2021, 34(1): 103.

[17]

WU M, ITOH T, SHIMIZU Y, et al. Low cycle fatigue life of Ti–6Al–4V alloy under non-proportional loading[J]. International Journal of Fatigue, 2012, 44: 1420.

[18]

VINJAMURI R, DWIVEDI P K, SABAT R K, et al. Role of crystallographic orientation on the deformation behaviour of Ti–6Al–4V alloy during low cycle fatigue[J]. Philosophical Magazine, 2023, 103(7): 673692.

[19]

XI J J, HU Y, XING H, et al. The low-cycle fatigue behavior, failure mechanism and prediction of SLM Ti–6Al–4V alloy with different heat treatment methods[J]. Materials, 2021, 14(21): 6276.

[20]

JHA J S, DHALA S, TOPPO S P, et al. Effect of strain amplitude on low cycle fatigue and microstructure evolution in Ti–6Al–4V : A TKD and TEM characterization[J]. Materials Characterization, 2019, 155: 109829.

[21]

XU H F, YE D Y, MEI L B. A study of the back stress and the friction stress behaviors of Ti–6Al–4V alloy during low cycle fatigue at room temperature[J]. Materials Science and Engineering: A, 2017, 700: 530539.

[22]

WANG Q, REN J Q, XIN C, et al. Low cycle fatigue behavior of near-alpha titanium alloys used in deep-driving submersible: Ti–6Al–3 Nb–2Zr–1Mo vs. Ti–6Al–4 V ELI[J]. Journal of Alloys and Compounds, 2023, 934: 167856.

[23]

罗云蓉, 王清远, 刘永杰, . Q235、Q345钢结构材料的低周疲劳性能[J]. 四川大学学报(工程科学版), 2012, 44(2): 169175.
LUO Yunrong, WANG Qingyuan, LIU Yongjie, et al. Low cycle fatigue properties of steel structure materials Q235 and Q345[J]. Journal of Sichuan University (Engineering Science Edition), 2012, 44(2): 169175.

[24]

姚卫星. 结构疲劳寿命分析[M]. 北京: 科学出版社, 2019.
YAO Weixing. Fatigue life estimation of structures[M]. Beijing: Science Press, 2019.

[25]

GE H B, KANG L. A damage index-based evaluation method for predicting the ductile crack initiation in steel structures[J]. Journal of Earthquake Engineering, 2012, 16(5): 623643.

[26]

甘露萍, 黄洪钟, 袁容, . 基于总应变能密度的轮盘低周疲劳寿命模型及可靠性研究[J]. 中国科技论文, 2012, 7(8): 616621.
GAN Luping, HUANG Hongzhong, YUAN Rong, et al. Low cyclic fatigue life model and reliability analysis of turbine disks using total strain energy density[J]. China Sciencepaper, 2012, 7(8): 616621.

目录