界面形貌对自修复热障涂层残余应力分布的影响

基金项目

国家自然科学基金面上项目(52375222)。

中图分类号:

V257.2TB381.9

文献标识码:

A

通信作者

王亮,研究员,博士,主要从事热障涂层宏观有限元计算方面工作。

编辑

责编 :晓月

引文格式

赵伟玲, 王亮. 界面形貌对自修复热障涂层残余应力分布的影响[J]. 航空制造技术, 2025, 68(18): 62–73.

Influence of Interface Morphology on Residual Stress Distribution of Self-Healing Thermal Barrier Coatings

Citations

ZHAO Weiling, WANG Liang. Influence of interface morphology on residual stress distribution of self-healing thermal barrier coatings[J]. Aeronautical Manufacturing Technology, 2025, 68(18): 62–73.

航空制造技术    第68卷    第18期    62-73
Aeronautical Manufacturing Techinology    Vol.68    No.18 : 62-73
DOI: 10.16080/j.issn1671-833x.2025.18.062
论坛 >> 自修复涂层(FORUM >> Self-Healing Coatings)

界面形貌对自修复热障涂层残余应力分布的影响

  • 赵伟玲 1,2
  • 王亮 1,2
1.中国科学院上海硅酸盐研究所关键陶瓷材料全国重点实验室上海 201899
2.中国科学院大学材料科学与光电技术学院北京 100049

通信作者

王亮,研究员,博士,主要从事热障涂层宏观有限元计算方面工作。

基金项目

国家自然科学基金面上项目(52375222)。

中图分类号:

V257.2TB381.9

文献标识码:

A

引文格式

赵伟玲, 王亮. 界面形貌对自修复热障涂层残余应力分布的影响[J]. 航空制造技术, 2025, 68(18): 62–73.

摘要

在通过等离子喷涂制备自修复热障涂层时,由于喷涂喂料尺寸的不均匀性、雾化及融化状态、飞行轨迹以及在基材上铺展行为的差异,都会导致涂层内部以及不同层之间出现一定程度的起伏,自修复热障涂层界面处呈现不规则不均匀的几何结构特性,也进一步使得界面处应力分布不均,导致自修复热障涂层在随后的服役过程中容易发生翘曲或分层剥落失效。利用有限元软件模拟界面处微观形貌的改变对涂层内部及界面处残余应力的影响,建立余弦理想界面模型发现,当界面Ⅰ(陶瓷顶层与自修复层的界面)、界面Ⅱ(自修复层与粘结层的界面)的波长L增大时,界面Ⅰ、Ⅱ的最大S22拉压应力都减小;当界面Ⅰ、Ⅱ的振幅A增加时,应力同时受到界面粗糙度和界面缓冲应力的影响,残余应力不随A的变化单调变化。改变上下界面波峰与波峰之间的相位偏移量d,探究界面交互作用的影响,界面Ⅰ的微观结构特征对界面Ⅱ波峰处的拉应力影响较大,当界面Ⅰ的波谷朝向界面Ⅱ的波峰时,这种形貌模式可以使界面Ⅱ的最大拉应力降低25.7%,避免界面产生过大的应力。依据界面处的应力状态,进一步系统探究了涂层的失效机理,为自修复热障涂层界面的优化调控及其加工工艺的优化设计提供更为全面的理论指导。

关键词

热障涂层(TBCs);自修复;界面形貌;有限元;残余应力;

Influence of Interface Morphology on Residual Stress Distribution of Self-Healing Thermal Barrier Coatings

  • ZHAO Weiling 1,2
  • WANG Liang 1,2
1.State Key Laboratory of High Performance Ceramics, Shanghai Institute of Ceramics, Chinese Academy of Sciences, Shanghai 201899, China
2.College of Materials Science and Optoelectronic Technology, University of Chinese Academy of Sciences, Beijing 100049, China

Citations

ZHAO Weiling, WANG Liang. Influence of interface morphology on residual stress distribution of self-healing thermal barrier coatings[J]. Aeronautical Manufacturing Technology, 2025, 68(18): 62–73.

Abstract

During the coating preparation process, differences in the morphology, size, molten state, flight path, and spreading behavior on the substrate of the feedstock result in a certain degree of undulation within and among the adjacent coating layers. Changes in the geometry of the interface of the coatings make the morphology at the interface more complex, showing irregular and inhomogeneous structural characteristics. It also further makes the stress distribution at the interface uneven, leading to unpredictable failure of the self-healing TBCs at the interface in the subsequent service process, which in turn leads to the warpage or delamination failure of the entire coating. Finite element software was used to simulate the effect of the variation of the surface morphology on the residual stress which is inside the coating and at the interface. By establishing the cosine ideal interface model, it is found that when the wavelength L of interface Ⅰ and interface Ⅱ increases, both the maximum S22 tensile stress and compressive stress of interface Ⅰ and interface Ⅱ decrease. When the amplitude A of interfaces Ⅰ and Ⅱ increases, the stress is affected by both interface roughness and interface buffer stress. Varying the phase offset d between the peaks at the upper and lower interfaces, it is found that the microstructural characteristics of interface Ⅰ have a greater influence on the tensile stress at the peaks of interface Ⅱ. When the valley of interface I faces the peak of interface Ⅱ, this morphology pattern can reduce the maximum tensile stress of interface Ⅱ by 25.7% and avoid excessive stresses at interface Ⅱ. Further, the failure mechanism of the coating is systematically investigated, which provides a more comprehensive theoretical guidance for the optimal control of the interface of the self-healing thermal barrier coatings and the optimal design of the processing technology.

Keywords

Thermal barrier coatings (TBCs); Self-healing; Interface topography; Finite element simulation; Residual stress;



热障涂层(Thermal barrier coatings,TBCs)作为航空发动机及燃气轮机高温部件的核心热防护技术,通过金属–陶瓷多层结构设计实现了基体合金表面降温(100~300 ℃)[   THAKARE J G, PANDEY C, MAHAPATRA M M, et al. Thermal barrier coatings—A state of the art review[J]. Metals and Materials International, 2021, 27(7): 1947–1968.
  PADTURE N P, GELL M, JORDAN E H. Thermal barrier coatings for gas-turbine engine applications[J]. Science, 2002, 296(5566): 280–284.
1-2
]
,显著提升了涡轮叶片等热端部件的使役温度上限,为高推重比航空发动机的性能突破及燃气轮机热机效率的提升提供了关键支撑[   GOSWAMI B, RAY A K, SAHAY S K. Thermal barrier coating system for gas turbine application—A review[J]. High Temperature Materials and Processes, 23(2): 73–92.
  EVANS A G, MUMM D R, HUTCHINSON J W, et al. Mechanisms controlling the durability of thermal barrier coatings[J]. Progress in Materials Science, 2001, 46(5): 505–553.
  DAI H W, ZHANG J H, REN Y Y, et al. Failure mechanism of thermal barrier coatings of an ex-service aero-engine combustor[J]. Surface and Coatings Technology, 2019, 380: 125030.
3-5
]
。但热障涂层在高温服役过程中通常会出现组织退化、裂纹扩展、涂层剥落问题,导致叶片失效,从而给航空发动机及燃气轮机的运行造成严重后果[   BUSSO E P, WRIGHT L, EVANS H E, et al. A physics-based life prediction methodology for thermal barrier coating systems[J]. Acta Materialia, 2007, 55(5): 1491–1503.
  SCHLICHTING K W, PADTURE N P, JORDAN E H, et al. Failure modes in plasma-sprayed thermal barrier coatings[J]. Materials Science and Engineering: A, 2003, 342(1–2): 120–130.
  ABUBAKAR A A, ARIF A F M, AKHTAR S S. Evolution of internal cracks and residual stress during deposition of TBC[J]. Ceramics International, 2020, 46(17): 26731–26753.
  KUMAR V, BALASUBRAMANIAN K. Progress update on failure mechanisms of advanced thermal barrier coatings: A review[J]. Progress in Organic Coatings, 2016, 90: 54–82.
6-9
]

喷涂态残余应力是引起大气等离子喷涂热障涂层失效的主要因素之一[   MEHBOOB G, LIU M J, XU T, et al. A review on failure mechanism of thermal barrier coatings and strategies to extend their lifetime[J]. Ceramics International, 2020, 46(7): 8497–8521.
10
]
,它决定了涂层后续高温条件下的服役性能及服役寿命[   DAS B, GOPINATH M, NATH A K, et al. Effect of cooling rate on residual stress and mechanical properties of laser remelted ceramic coating[J]. Journal of the European Ceramic Society, 2018, 38(11): 3932–3944.
11
]
。涂层在喷涂制备过程中产生的残余应力包括:(1)熔滴快速凝固形成的淬火应力;(2)层间热膨胀系数失配诱导的热应力;(3)涂层和基体材料相变产生的相变应力;(4)在喷枪移动过程中熔滴撞击在沉积的衬底表面所产生的冲击应力[   ZHAO S M, YAN P T, LI M, et al. Residual stress evolution of 8YSZ: Eu coating during thermal cycling studied by Eu3+ photoluminescence piezo-spectroscopy[J]. Journal of Alloys and Compounds, 2022, 913: 165292.
  WANG L, WANG Y, SUN X G, et al. Microstructure and surface residual stress of plasma sprayed nanostructured and conventional ZrO2–8wt%Y2O3 thermal barrier coatings[J]. Surface and Interface Analysis, 2011, 43(5): 869–880.
  WANG L, LI D C, YANG J S, et al. Modeling of thermal properties and failure of thermal barrier coatings with the use of finite element methods: A review[J]. Journal of the European Ceramic Society, 2016, 36(6): 1313–1331.
12-14
]
。其中,当涂层从喷涂过程中的高温条件冷却到室温环境时,由于涂层每层的热膨胀系数不匹配,会产生大的残余应力。如果残余应力超过某些局部区域的粘聚强度的临界值[   CEN L, QIN W Y, YU Q M. Analysis of interface delamination in thermal barrier coating system with axisymmetric structure based on corresponding normal and tangential stresses[J]. Surface and Coatings Technology, 2019, 358: 785–795.
15
]
,特别是在界面处,裂纹将被引发并进一步扩展,导致整个涂层系统的剥落和分层失效。因此,研究喷涂态涂层的残余应力至关重要[   CHEN Q, HU P, PU J, et al. Interfacial interaction and roughness parameters effects on the residual stresses in DCL–TBC system with different thickness distributions[J]. Ceramics International, 2021, 47(2): 2781–2792.
16
]

为突破传统热障涂层的失效瓶颈,自修复热障涂层(Self-healing thermal barrier coatings,SH–TBCs)通过引入功能化修复剂[   OUYANG T Y, WU J Y, YASIR M, et al. Effect of TiC self-healing coatings on the cyclic oxidation resistance and lifetime of thermal barrier coatings[J]. Journal of Alloys and Compounds, 2016, 656: 992–1003.
17
]
,构建“损伤感知–修复剂释放–裂纹愈合”的智能响应机制。自修复材料包括聚合物[   WU D Y, MEURE S, SOLOMON D. Self-healing polymeric materials: A review of recent developments[J]. Progress in Polymer Science, 2008, 33(5): 479–522.
  CORDIER P, TOURNILHAC F, SOULIÉ-ZIAKOVIC C, et al. Self-healing and thermoreversible rubber from supramolecular assembly[J]. Nature, 2008, 451(7181): 977–980.
18-19
]
、金属[   NI W Y, CHENG Y T, GRUMMON D S. Recovery of microindents in a nickel–titanium shape-memory alloy: A “self-healing” effect[J]. Applied Physis Letters, 2002, 80(18): 3310–3312.
  NOSONOVSKY M, AMANO R, LUCCI J M, et al. Physical chemistry of self-organization and self-healing in metals[J]. Physical Chemistry Chemical Physics, 2009, 11(41): 9530–9536.
  SHCHUKIN D G, ZHELUDKEVICH M, YASAKAU K, et al. Layer-by-layer assembled nanocontainers for self-healing corrosion protection[J]. Advanced Materials, 2006, 18(13): 1672–1678.
20-22
]
、陶瓷[   WIKTOR V, JONKERS H M. Quantification of crack-healing in novel bacteria-based self-healing concrete[J]. Cement and Concrete Composites, 2011, 33(7): 763–770.
  MIHASHI H, NISHIWAKI T. Development of engineered self-healing and self-repairing concrete-state-of-the-art report[J]. Journal of Advanced Concrete Technology, 2012, 10(5): 170–184.
23-24
]
及其复合材料[   FERGUSON J B, SCHULTZ B F, ROHATGI P K. Self-healing metals and metal matrix composites[J]. JOM, 2014, 66(6): 866–871.
  BODE S, BOSE R K, MATTHES S, et al. Self-healing metallopolymers based on cadmium bis(terpyridine) complex containing polymer networks[J]. Polymer Chemistry, 2013, 4(18): 4966–4973.
25-26
]
,当这些材料在经历热力、机械或其他形式的损伤后,具备恢复其原有性能的能力[   WOOL R P. Self-healing materials: A review[J]. Soft Matter, 2008, 4(3): 400–418.
27
]
。Sloof团队提出了自修复热障涂层的概念,并研究了其在高温下的自修复机制[   DERELIOGLU Z, CARABAT A L, SONG G M, et al. On the use of B–alloyed MoSi2 particles as crack healing agents in yttria stabilized zirconia thermal barrier coatings[J]. Journal of the European Ceramic Society, 2015, 35(16): 4507–4511.
28
]
。如图1所示[   WANG L, SHAO F, ZHONG X H, et al. Tailoring of self-healing thermal barrier coatings via finite element method[J]. Applied Surface Science, 2018, 431: 60–74.
29
]
,当涂层受到热应力或其他外部载荷时,涂层内部或界面会产生微裂纹,微裂纹扩展到靠近“胶囊”的区域时,“胶囊”会破裂并释放出一些自修复物质(通常是金属或合金材料),这些物质会填充裂纹,使裂纹无法继续扩展(A情形)。如果微裂纹绕过“胶囊”,则不会发生自修复(B情形)。Chen等[   CHEN Y, ZHANG X, VAN DER ZWAAG S, et al. Damage evolution in a self-healing air plasma sprayed thermal barrier coating containing self-shielding MoSi2 particles[J]. Journal of the American Ceramic Society, 2019, 102(8): 4899–4910.
30
]
进一步发展了自愈合热障涂层技术,通过在TBCs中添加被Al2O3壳包覆的含铝MoSi2愈合粒子,并研究了这些自修复粒子在热循环条件下的动力学行为,指出了未来改进提高自愈合效率以及自修复粒子如何改善涂层高温服役性能的方向。Wang等[   WANG L, MING C, ZHONG X H, et al. Microstructure and self-healing properties of multi-layered NiCoCrAlY/TAZ/YSZ thermal barrier coatings fabricated by atmospheric plasma spraying[J]. Applied Surface Science, 2019, 488: 246–260.
31
]
通过大气等离子喷涂技术制备多层NiCoCrAlY/TAZ/TC自修复热障涂层,并展示了其耐久性在高温下显著提高,为提升燃气轮机等高温部件的使用寿命提供了有效策略。Ouyang等[   OUYANG T Y, SUO J P. TiC-self-healing thermal barrier coating structures and oxidation resistance[J]. Surface and Coatings Technology, 2021, 412: 127065.
32
]
开发了一系列TiC自修复TBCs,发现该自修复涂层的综合性能比一般热障涂层的综合性能更好,在工业应用中具有巨大的潜力。这些研究结果均表明,在涂层中引入自修复材料,通过其高温下的自修复效应,可以提高热障涂层的高温抗氧化性及其服役寿命。

图1     大气等离子喷涂热障涂层自修复原理机制图[   WANG L, SHAO F, ZHONG X H, et al. Tailoring of self-healing thermal barrier coatings via finite element method[J]. Applied Surface Science, 2018, 431: 60–74.
29
]
Fig.1     Schematic illustration of self-healing mechanism of TBCs[   WANG L, SHAO F, ZHONG X H, et al. Tailoring of self-healing thermal barrier coatings via finite element method[J]. Applied Surface Science, 2018, 431: 60–74.
29
]

在涂层制备过程中,喷涂粉末颗粒形态、尺寸大小、融化状态、飞行轨迹以及在基体上的铺展行为的差异,常会导致涂层内部以及不同层之间会出现一定程度的起伏。自修复热障涂层界面处会出现界面几何形态的变化,使得界面处形貌较为复杂,呈现不规则、不均匀的结构特性。也进一步使得界面处应力分布不均匀,导致自修复热障涂层在随后的服役过程中容易在界面处出现不可预知的失效模式,进而导致整体涂层的翘曲或分层剥落失效。当前研究多聚焦于热障涂层理想界面下的残余应力分析[   XIAO Y Q, LIU Z Y, PENG X M, et al. Spallation mechanism of thermal barrier coatings with real interface morphology considering growth and thermal stresses based on fracture phase field[J]. Surface and Coatings Technology, 2023, 458: 129356.
  FERGUEN N, LECLERC W, LAMINI E S. Numerical investigation of thermal stresses induced interface delamination in plasma-sprayed thermal barrier coatings[J]. Surface and Coatings Technology, 2023, 461: 129449.
  MONTAKHABI F, POURSAEIDI E, RAHIMI J, et al. Investigation of the effect of BC layer surface roughness and TC layer porosity on stress values in plasma sprayed coatings based on SEM images[J]. Materials Today Communications, 2022, 33: 104737.
  YU C T, ZHANG L, BAO Z B, et al. Interfacial failure induced by dynamic evolutional stress of NiCoCrAlY–4YSZ TBCs during gradient thermal cycling: Effect of 4YSZ top coat thickness[J]. Surface and Coatings Technology, 2024, 477: 130408.
  LI Z D, ZHENG R G, LIN X P, et al. Finite element analysis of TGO thickness on stress distribution and evolution of 8YSZ thermal barrier coatings[J]. Journal of the American Ceramic Society, 2023, 106(1): 789–804.
  ZHAO W L, HU Z C, WANG L, et al. Effect of top-coat thickness and interface fluctuation on the residual stress in APS–TBCs[J]. Coatings, 2023, 13(9): 1659.
33-38
]
,然而,自修复热障涂层特有的自修复层将重构局部应力场分布。

针对涂层界面处微观形貌对冷却过程中残余应力分布的影响,本文将采用有限元建模方法展开研究。在模型中展现完整真实的界面形状,将大大增加生成合适网格所需的工作量以及表示不同粗糙度形状所需的计算域规模,显著延长计算时间、降低计算效率,但并未带来精度的提升。因此,本文利用有限元软件建立局域不同界面形貌特征的涂层模型,系统研究界面的几何特征对界面处残余应力的影响规律,并根据界面残余应力的分布特性,阐释界面处裂纹可能存在的萌生方式和扩展模态,从而为自修复热障涂层以及多层结构的涂层系统界面强化提供理论支撑。

1     自修复热障涂层模型

1.1     自修复热障涂层设计准则

本文所研究的自修复热障涂层的结构设计建立在前期试验工作的基础上[   OUYANG T Y, SUO J P. TiC-self-healing thermal barrier coating structures and oxidation resistance[J]. Surface and Coatings Technology, 2021, 412: 127065.
32
]
,在粘结层(Bond-coat,BC)和陶瓷层(Top-coat,TC)之间插入自修复层(TAZ),自修复层的成分包含质量分数20%的TiC、质量分数10%的Al2O3和质量分数70%的YSZ,如图2所示。自修复层中的Al2O3可以有效减少外部氧气向界面渗透扩散,降低TGO层的形成速率。加入YSZ是为了减少热膨胀系数的不匹配,减少热应力。自修复热障涂层的自修复效果主要依靠TAZ层中的TiC颗粒完成。当涂层暴露在高温氧化的环境时,TiC会与空气中的氧反应生成TiO2颗粒,这些颗粒能够填充裂纹间隙,因TiO2颗粒的密度低于TiC,裂纹周围会产生体积膨胀效应和压应力场,有助于裂纹的封闭。同时,TiO2的形成还能降低粘结层和YSZ层界面处氧的分压,进一步减缓TGO层的生长。

图2     自修复热障涂层的结构设计与自修复机理示意图
Fig.2     Schematic illustration diagram of structural design and self-healing mechanism of self-healing thermal barrier coatings

1.2     模型及边界条件

不同的TC/TAZ、TAZ/BC界面形貌对涂层的界面结合强度以及界面处涂层的残余应力状态有重要影响。采用ABAQUS有限元软件建立不同形貌的界面涂层模型,模型由厚度为260 μm的陶瓷层、40 μm的自修复层、100 μm的粘结层和6 mm的基体组成。TC/TAZ、TAZ/BC的界面粗糙度用理想余弦曲线yx)=A·cos(2π(x+w)/L)(L为波长;A为界面振幅;w为上下界面相位差)表征,通过改变余弦曲线的LAw来研究界面粗糙度对应力的影响[   RANJBAR-FAR M, ABSI J, MARIAUX G, et al. Simulation of the effect of material properties and interface roughness on the stress distribution in thermal barrier coatings using finite element method[J]. Materials & Design, 2010, 31(2): 772–781.
  SFAR K, AKTAA J, MUNZ D. Numerical investigation of residual stress fields and crack behavior in TBC systems[J]. Materials Science and Engineering: A, 2002, 333(1–2): 351–360.
39-40
]
,其中余弦界面的L为60~140 μm,A范围在5~30 μm之间[   REZVANI RAD M, FARRAHI G H, AZADI M, et al. Effects of preheating temperature and cooling rate on two-step residual stress in thermal barrier coatings considering real roughness and porosity effect[J]. Ceramics International, 2014, 40(10): 15925–15940.
41
]
,这些值通常通过观察显微照片获得(图3)。由于几何模型具有对称性,且系统所受热载荷具有空间均匀性,因此多周期模型可以简化成半周期模型,如图4所示。半周期模型的左侧施加对称边界条件,左侧x方向位移为0;右侧施加多点约束(Multi-point constraint,MPC)来表征周期性边界条件。多点约束使右侧边的所有点可以同时沿x方向移动相同的位移且与y方向垂直。为保证计算精度,需在TC/TAZ/BC界面附近区域进行网格加密。假定涂层沉积到基体表面后快速铺展收缩,直到两者达到平衡温度,此时,整个系统设为处于427 ℃的高温[   LUGSCHEIDER E, NICKEL R. Finite element simulation of a coating formation on a turbine blade during plasma spraying[J]. Surface and Coatings Technology, 2003, 174: 475–481.
42
]
(模拟涂层制备态温度,假定涂层系统处于零应力状态),涂层系统与室温空气发生自然热对流(对流换热系数为10 W/(m2·K)),大气温度设为25 ℃,制备后试样冷却18000 s(保证冷却时间足够长,整个涂层心部和表面侧面都处于热平衡状态)。

图3     自修复热障涂层显微照片
Fig.3     Cross-section image of self-healing TBCs
图4     自修复涂层理想余弦模型示意图
Fig.4     Schematic illustration of self-healing TBCs with the ideal cosine curve

1.3     网格无关性验证

为保证计算精度,对TC/TAZ/BC界面附近区域进行网格加密,因此,在进行网格划分时,最小单元尺寸应选择尽可能小。然而,较小的单元尺寸会对计算效率产生负面影响。为了提高结果的精度和稳定性,同时节省时间,选定0.8 μm作为网格划分过程中的最小单元尺寸。整个涂层采用CAX4T网格类型进行划分,共生成27218个单元。为确保所得结果的准确性及网格划分的充分性,进行网格无关性分析,以确定最优的网格尺寸。基于最小单元尺寸,选定了5种不同的网格划分策略进行比较。表1列出了网格的最小尺寸及对应的总单元数。结果表明,在最小网格尺寸低于0.8 μm时,体系的最大S22应力与0.8 μm的最小网格尺寸相比变化不显著。因此,选用0.8 μm的最小网格尺寸进行后续的分析。

表1     网格无关性计算结果
Table 1     Calculated results for mesh independence
最小网格尺寸/μm 总网格个数 最大S22值/MPa
2 10490 168.599
1.5 17326 170.564
1 23619 171.084
0.8 27218 171.266
0.5 41281 171.267

1.4     材料的热物性及力学性能参数

在有限元模拟计算中,做出以下假设:(1)涂层各层均假设为各向同性材料;(2)由于陶瓷层为脆性材料,陶瓷层被假定为线弹性,只有当Mises应力超过屈服强度时,涂层中才会产生裂纹,加速涂层的破坏过程;(3)模拟过程不考虑热辐射的影响;(4)假设整个涂层喷涂过程中及刚结束后(停止送粉)的温度都是427 ℃。陶瓷层、粘结层、基体、Al2O3以及TiC的材料参数分别见表2~6。其中,TAZ层的材料参数可通过均匀混合规则和对数规则得到,均匀混合规则是假设各组分均匀分布且应变连续,适用于各组分力学性能差异较小的情况。TAZ中YSZ占比高(质量分数70%),其热膨胀系数(CTE)与TiC、Al2O3差异较小,因此均匀混合规则可合理反映整体性能趋势。在对数规则中,假设各组分应力连续,则适用于多孔或非均匀结构。由于TAZ中存在自修复颗粒(TiC),其局部应力分布可能受界面效应影响,对数规则可补充评估应力集中区域的性能,结合两种规则的综合使用可更全面地描述TAZ层的宏观力学行为。根据混合规则,TAZ层的有效性能可表示为[   OUYANG T Y, SUO J P. TiC-self-healing thermal barrier coating structures and oxidation resistance[J]. Surface and Coatings Technology, 2021, 412: 127065.
32
]

PM=PTiCηTiC+PAl2O3ηAl2O3+PYSZηYSZ
(1)

ηTiC+ηAl2O3+ηYSZ=1
(2)

式中,PM为根据均匀混合规则得到的混合物性能;PTiCPAl2O3PYSZ分别为TiC、Al2O3和YSZ的有效性能;ηTiCηAl2O3ηYSZ分别为TiC、Al2O3和YSZ的质量分数。

表2     8YSZ的材料参数[   OUYANG T Y, SUO J P. TiC-self-healing thermal barrier coating structures and oxidation resistance[J]. Surface and Coatings Technology, 2021, 412: 127065.
32
]
Table 2     Material parameters of 8YSZ[   OUYANG T Y, SUO J P. TiC-self-healing thermal barrier coating structures and oxidation resistance[J]. Surface and Coatings Technology, 2021, 412: 127065.
32
]
温度/℃ 密度/(kg/m3 弹性模量/GPa 泊松比 热膨胀系数/(×10–6/K) 比热容/(J/(kg·K)) 热导率/(W/(m·K))
20 5280 48 0.1 10.4 640 1.8
200 5280 47 0.1 10.5 640 1.76
500 5280 43 0.1 10.7 640 1.75
700 5280 39 0.11 10.8 640 1.72
1100 5280 25 0.12 10.9 640 1.69
1200 5280 22 0.12 11 640 1.67
1400 5280 15 0.12 11.3 640 1.62

表3     NiCoCrAlY的材料参数[   OUYANG T Y, SUO J P. TiC-self-healing thermal barrier coating structures and oxidation resistance[J]. Surface and Coatings Technology, 2021, 412: 127065.
32
]
Table 3     Material parameters of NiCoCrAlY[   OUYANG T Y, SUO J P. TiC-self-healing thermal barrier coating structures and oxidation resistance[J]. Surface and Coatings Technology, 2021, 412: 127065.
32
]
温度/℃ 密度/(kg/m3 弹性模量/GPa 泊松比 热膨胀系数/(×10–6/K) 比热容/(J/(kg·K)) 热导率/(W/(m·K)) 屈服强度/MPa 剪切模量/GPa
20 7320 152.4 0.1 12.3 501 4.3 270 5
200 7320 143.3 0.1 13.2 547 5.2
500 7320 136.7 0.1 14.7 598 6.4
700 7320 126.4 0.11 15.9 638 8.6
1100 7320 41.3 0.12 17.7 781 10.2
1200 7320 36.7 0.12 18.2 764 16.1
1400 7320 29.2 0.12 18.6 779 16.9

表4     高温合金基体的材料参数[   OUYANG T Y, SUO J P. TiC-self-healing thermal barrier coating structures and oxidation resistance[J]. Surface and Coatings Technology, 2021, 412: 127065.
32
]
Table 4     Material parameters of high temperature alloy substrate[   OUYANG T Y, SUO J P. TiC-self-healing thermal barrier coating structures and oxidation resistance[J]. Surface and Coatings Technology, 2021, 412: 127065.
32
]
温度/℃ 密度/(kg/m3 弹性模量/GPa 泊松比 热膨胀系数/(×10–6/K) 比热容/(J/(kg·K)) 热导率/(W/(m·K)) 屈服强度/MPa 剪切模量/GPa
20 8150 220 0.31 14.8 658 20 627 79
200 8150 210 0.32 15.2 667 21.1
400 8150 190 0.33 15.6 680 22.4
600 8150 170 0.33 16.2 690 23.6
800 8150 155 0.33 16.9 696 24.2
1000 8150 130 0.35 17.5 716 25.6

表5     TiC的物性参数[   ZHUANG M X, YUAN J H, HU Z C, et al. Design and optimization of coating structure for plasma sprayed self-healing MgO coating via finite element method[J]. Ceramics International, 2021, 47(2): 2414–2429.
43
]
Table 5     Physical parameters of TiC[   ZHUANG M X, YUAN J H, HU Z C, et al. Design and optimization of coating structure for plasma sprayed self-healing MgO coating via finite element method[J]. Ceramics International, 2021, 47(2): 2414–2429.
43
]
温度/℃ 密度/(kg/m3 弹性模量/GPa 泊松比 热膨胀系数/(×10–6/K) 比热容/(J/(kg·K)) 热导率/(W/(m·K))
20 4940 500 0.16 6.4 564 24.3
27 4940 500 0.16 6.4 565 24.3
127 4940 495 0.16 6.7 692 24.3
227 4940 490 0.16 6.9 754 24.3
327 4940 485 0.16 7.1 790 24.3
427 4940 480 0.16 7.4 814 24.3
527 4940 475 0.16 7.6 832 24.3
627 4940 470 0.16 7.9 846 24.3
727 4940 465 0.16 8.1 857 24.3
927 4940 455 0.16 8.6 892 24.3
1127 4940 450 0.16 9.1 892 24.3
1327 4940 445 0.16 9.7 906 24.3

表6     Al2O3的物性参数[   HAN M, HUANG J H, CHEN S H. Behavior and mechanism of the stress buffer effect of the inside ceramic layer to the top ceramic layer in a double-ceramic-layer thermal barrier coating[J]. Ceramics International, 2014, 40(2): 2901–2914.
44
]
Table 6     Physical parameters of Al2O3[   HAN M, HUANG J H, CHEN S H. Behavior and mechanism of the stress buffer effect of the inside ceramic layer to the top ceramic layer in a double-ceramic-layer thermal barrier coating[J]. Ceramics International, 2014, 40(2): 2901–2914.
44
]
温度/℃ 密度/(kg/m3 弹性模量/GPa 泊松比 热膨胀系数/(×10–6/K) 比热容/(J/(kg·K)) 热导率/(W/(m·K))
20 4200 400 0.23 7.13 980 9.8
200 4200 390 0.23 7.47 980 7.79
500 4200 376 0.25 8.57 980 6.21
800 4200 355 0.25 9.0 980 5.42
1000 4200 325 0.25 9.5 980 5.38
1100 4200 315 0.25 9.7 980 5.26
1400 4200 310 0.26 9.8 980 5.23

根据对数规律,TAZ的有效性质可表示为

ln(PL)=ηTiCln(PTiC)+ηAl2O3ln(PAl2O3)+ηYSZln(PYSZ)
(3)

因此,可以通过式(4)来得到TAZ的整体属性。

PTAZ=PM · PL
(4)

2     数值计算结果及分析

2.1     界面波长的影响

为了方便表征,将TC/TAZ界面设置为界面Ⅰ,TAZ/BC间的界面设置为界面Ⅱ。改变界面Ⅰ、Ⅱ的波长,界面Ⅰ、Ⅱ的幅值保持10 μm不变,w设为0。图5是不同界面不同波长自修复热障涂层系统冷却后至室温后的残余应力S22应力分布云图。由于热膨胀系数不匹配和界面Ⅰ、Ⅱ的界面起伏,界面Ⅰ、Ⅱ附近出现了明显的应力水平。由于粘结层的CTE大于TAZ,因此,粘结层在TAZ上引起波峰处的拉伸应力和波谷的压应力,即界面Ⅱ的波峰为拉应力,波谷为压应力。TC的CTE大于TAZ,因此TC在TAZ上引起波峰处的压应力和波谷的拉伸应力,即界面Ⅰ的波峰为拉应力,波谷为压应力。这些结果与Ranjbar[   RANJBAR-FAR M, ABSI J, MARIAUX G, et al. Simulation of the effect of material properties and interface roughness on the stress distribution in thermal barrier coatings using finite element method[J]. Materials & Design, 2010, 31(2): 772–781.
39
]
、Aktaa[   AKTAA J, SFAR K, MUNZ D. Assessment of TBC systems failure mechanisms using a fracture mechanics approach[J]. Acta Materialia, 2005, 53(16): 4399–4413.
45
]
、Hsueh[   HSUEH C H, FULLER E R. Residual stresses in thermal barrier coatings: Effects of interface asperity curvature/height and oxide thickness[J]. Materials Science and Engineering: A, 2000, 283(1–2): 46–55.
46
]
等的结果吻合,与理论认识一致。从图5可以看出,冷却后,界面Ⅰ、Ⅱ的定性分布保持不变。并且,随着波长的增加,TBC、TC中受拉的面积增加。

图5     不同波长下的S22应力分布云图
Fig.5     S22 stress distribution with different wavelengths

图6(a)中,当界面Ⅰ的波长从60 μm上升到140 μm时,波峰处的最大压应力从45.7 MPa下降到28.5 MPa;波谷处的最大拉应力从26.9 MPa下降到11.7 MPa。图6(b)为不同波长下界面Ⅰ的界面应力图,可以看出,界面应力分布都呈现相似的趋势,最大压应力出现在波峰附近,最大拉应力出现在波谷附近。当界面曲线波长从60 μm上升到140 μm时,最大拉/压应力都随着波长的增加而减小,呈线性变化。

图6     不同波长下S22应力变化趋势
Fig.6     Stress variation trend of S22 at different wavelengths

图6(c)中,当界面Ⅱ的波长从60 μm上升到140 μm时,波峰处的最大拉应力从121.2 MPa下降到76.9 MPa;波谷处的最大压应力从58.1 MPa下降到34.3 MPa。图6(d)为不同波长下界面Ⅱ的界面应力图,可以看出,界面应力分布都呈现相似的趋势,最大拉应力出现在波峰附近,最大压应力出现在波谷附近。当界面曲线波长从60 μm上升到140 μm时,最大拉/压应力都随着波长的增加而减小。

2.2     界面起伏幅值的影响

改变界面Ⅰ、Ⅱ的振幅,界面Ⅰ、Ⅱ的波长保持100 μm不变。图78为不同界面不同振幅自修复热障涂层系统冷却至室温后的残余应力S22应力分布云图。可以看到,随着振幅的增大,TC和BC内压应力的区域面积减小,拉应力的区域面积增大。

图7     不同振幅界面Ⅰ的S22应力分布云图
Fig.7     S22 stress distribution at interface Ⅰ with different amplitudes
图8     不同振幅界面Ⅱ的S22应力分布云图
Fig.8     S22 stress distribution at interface Ⅱ with different amplitudes

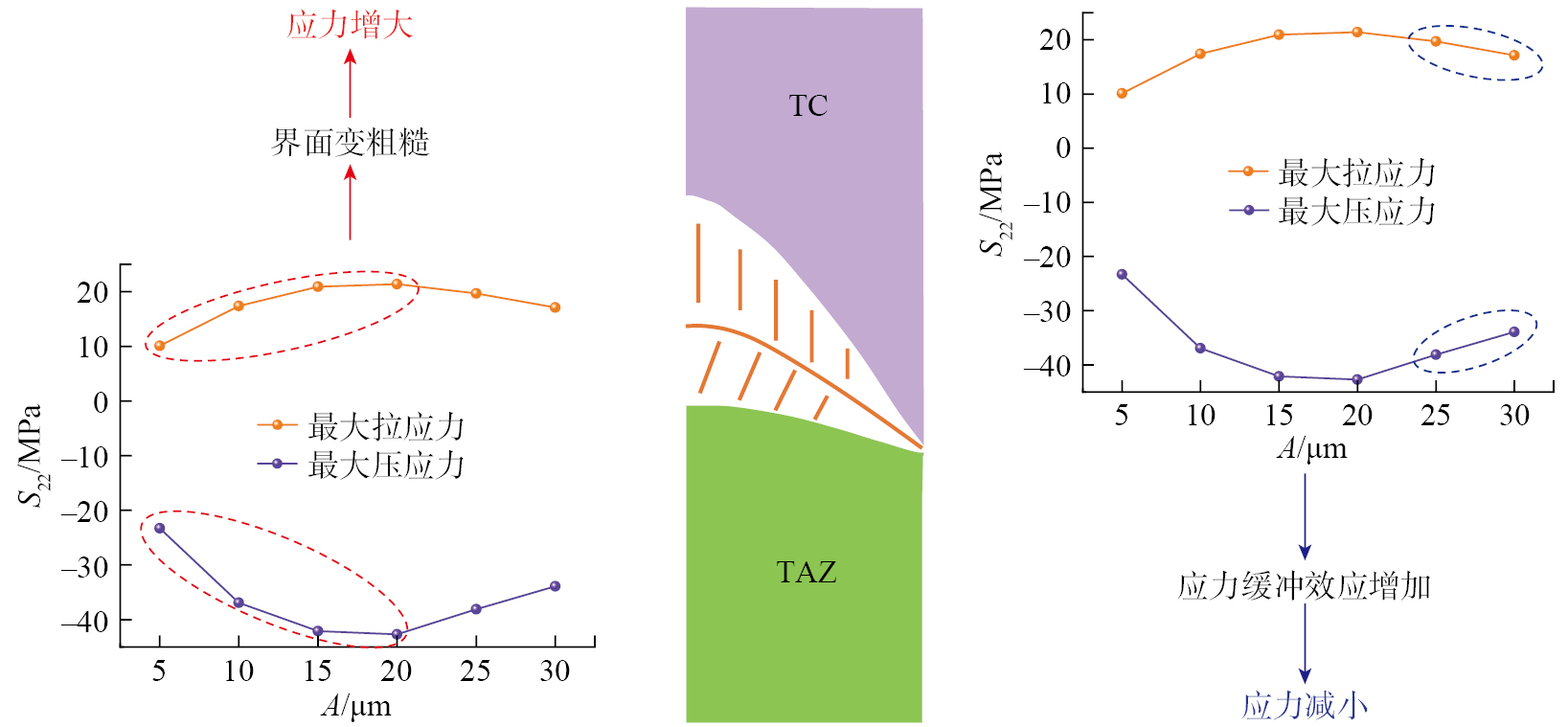
图9(a)为界面Ⅰ最大拉应力、压应力随振幅变化图。当界面Ⅰ的振幅从5 μm上升到20 μm时,波峰处的最大压应力从23.3 MPa上升到42.7 MPa;波谷处的最大拉应力从10.1 MPa上升到21.4 MPa。而当振幅继续从20 μm上升到30 μm时,波峰处的最大压应力从42.7 MPa下降到33.9 MPa;波谷处的最大拉应力从21.4 MPa下降到17.1 MPa。图9(b)为不同振幅界面Ⅰ的应力分布图,可以看出,最大拉应力不随振幅的增加而线性变化,且最大拉应力位置也因界面Ⅰ振幅的变化而改变,其中红色箭头表示最大拉应力位置变化的方向,最大拉应力向界面波峰位置移动。

图9     不同振幅下S22应力变化趋势
Fig.9     Stress variation trend of S22 at different amplitudes

图9(c)为最大拉应力、压应力随振幅变化图,当界面Ⅱ的振幅从5 μm上升到30 μm时,波峰处的最大拉应力从55.2 MPa上升到134.7 MPa;波谷处的最大压应力从22.8 MPa上升到85.6 MPa。图9(d)为不同振幅界面Ⅱ应力随变化图,可以看出,最大拉应力随振幅的增加而增大,最大拉应力位置也因界面Ⅰ振幅的变化而改变,红色箭头表示最大拉应力位置变化的方向。

如果界面的振幅A值较小(5~20 μm),则随着A的增加,界面会变得粗糙。界面波峰波谷处变得更尖锐,波峰波谷处的应力集中会更加明显,导致应力增大[   HAN M, HUANG J H, CHEN S H. The influence of interface morphology on the stress distribution in double-ceramic-layer thermal barrier coatings[J]. Ceramics International, 2015, 41(3): 4312–4325.
47
]
。振幅变大时,可以从应力云图看到拉应力区域面积变大,且最大拉应力位置往左边移动。在自修复涂层的设计时,考虑到材料参数的不同,TAZ层在降低TC层中的应力水平时具有应力缓冲作用。随着振幅A的进一步增大,界面附近的TAZ层面积将增加,TC层的面积将减小。最后,界面附近的应力缓冲效应将增加,并且应力缓冲效应对应力的影响将大于来自上述粗糙界面的影响,即最大应力减小,如图10所示。

图10     TAZ与TC界面幅值增加导致的界面应力变化解释示意图
Fig.10     Schematic diagram explaining the change in interface stress caused by the increase of interface amplitude between TAZ and TC

如果界面Ⅰ、Ⅱ的振幅A值较小,则最大拉/压应力通常在界面的波峰或波谷处产生;如果界面Ⅰ、Ⅱ具有较大的振幅A值,则最大拉应力通常在波峰和波谷之间的位置产生。结果表明,当界面相对平坦时,波峰波谷通过尖端应力集中引起最大拉应力;如果界面起伏较大,则两层之间主要在波峰和波谷之间的位置会导致较大的应力水平产生,而界面的波峰或波谷受到保护。

2.3     界面交互的影响

界面Ⅰ、Ⅱ都是由yx)=A·cos(2π(x+w)/L)(L为波长;A为界面振幅;w为界面相位差)构成。为了研究界面Ⅰ和Ⅱ的交互影响,对于界面Ⅱ,w为0;而对于界面Ⅰ,需改变w来表征两个界面间可能的微观结构模式[   CHEN Q, HU P, PU J, et al. Interfacial interaction and roughness parameters effects on the residual stresses in DCL–TBC system with different thickness distributions[J]. Ceramics International, 2021, 47(2): 2781–2792.
16
]
。用d来表示界面两个峰之间的水平距离,两个界面的波长均为100 μm,振幅均为10 μm。

图11中,d为0、L/8、L/4、3L/8、L/2时,界面Ⅱ的应力分布情况。图12为界面Ⅱ的最大拉应力随d变化图。可以看出,在所有情况下,界面Ⅱ最大拉应力和压应力的位置几乎不变,即界面Ⅰ的形貌不足以影响界面Ⅱ处应力的定性分布。然而,当界面Ⅰ的峰值远离界面Ⅱ时,界面Ⅱ的最大拉/压应力都有所减小。从图11可以看出(d=0和d=50 μm),界面Ⅱ波峰拉应力的减小程度要大于波谷压应力的减小程度。因此,界面Ⅰ的界面形貌对界面Ⅱ波峰附近的拉应力特性影响更大。

图11     界面Ⅱ的应力分布图
Fig.11     Stress distribution of interface Ⅱ
图12     界面Ⅱ的最大拉应力随d变化图
Fig.12     Plot of maximum tensile stress at interface Ⅱ as a function of d

2.4     失效机理

对于传统的热障涂层,当YSZ涂层沉积在高温合金基体上时,残余应力分布极为复杂。熔滴融化不充分、片层交叠行为以及残余应力会使喷涂态涂层产生一定量的微裂纹和微孔。其中,涂层表面裂纹的产生主要与径向残余应力有关。剪切应力往往集中在界面的峰值处,导致界面应力复杂。一旦残余应力超过TBCs的断裂强度,就会加速涂层的剥落。图13显示了不同应力状态下热障涂层内部可能出现的裂纹。

图13     TBCs在不同残余应力状态下的失效模式 [   ZHAO W L, HU Z C, WANG L, et al. Effect of top-coat thickness and interface fluctuation on the residual stress in APS–TBCs[J]. Coatings, 2023, 13(9): 1659.
38
]
Fig.13     Failure modes of self-healing TBCs under different residual stress states[   ZHAO W L, HU Z C, WANG L, et al. Effect of top-coat thickness and interface fluctuation on the residual stress in APS–TBCs[J]. Coatings, 2023, 13(9): 1659.
38
]

同样,对于自修复热障涂层,在不同残余应力下的失效形式与传统的双层结构经典热障涂层相似。较大的残余应力会导致裂纹萌生,沿陶瓷层/黏结层界面扩展,如图13(a)所示。如果涂层表面产生的残余拉应力大于上下或前后相邻片层之间的结合强度,则相邻片层在残余应力的作用下开始滑移逃逸,就会出现如图13(a)所示的裂纹。TC/BC界面处存在残余压应力,有利于裂纹闭合。它可以进一步阻止裂纹扩展,减缓YSZ涂层的剥落速度。然而,TBCs的破坏受到残余压应力应力集中的影响,并且TBCs的破坏模式与不同的残余应力状态有关,会发现涂层内部裂纹和孔隙分布不均匀,存在较大的残余压应力,影响涂层的分层,如图13(d)所示。考虑到循环残余应力的加载,一般认为新形成的裂纹会向TC/BC界面方向扩展,这将加速涂层的最终剥落,降低TBCs的可靠性。压应力导致的剪切滑移(图13(e))会削弱界面结合强度。压应力与热循环载荷叠加时,可能诱发涂层屈曲(Buckling)或边缘分层。因此,界面压应力需与界面的材料断裂韧性及界面结合强度等参量综合进行评估,避免其成为涂层失效的潜在诱因。

在前面的模拟工作中,TC/TAZ波峰处为拉应力,TC/TAZ波谷处为压应力,波峰处的拉应力会引起纵向裂纹的萌生扩展,波谷处的压应力会引起水平裂纹的萌生扩展。不同的应力状态决定所形成裂纹的形式有所不同,这种裂纹的形成通常与材料的微观结构及其力学性能密切相关。具体而言,拉应力集中会促使材料内部的微观缺陷(如孔洞、颗粒界面或相界面)在应力作用下迅速扩展,从而导致纵向裂纹的形成。相对而言,波谷处的压应力则可能引发水平裂纹的萌生与扩展。压应力在材料内部产生的应变状态往往会导致局部区域的屈服,进而引发水平裂纹的萌生。这一现象与图14中所示的自修复热障涂层喷涂状态下的显微结构观察结果相一致,进一步表明在不同应力状态下,材料的裂纹行为具有明显的方向性。

图14     真实喷涂态自修复热障涂层应力状态
Fig.14     Stress state of as-sprayed self-healing thermal barrier coating

此外,考虑到自修复热障涂层在高温环境中的服役及应用,其随温度变化的热膨胀特性及相变行为也会对应力分布和裂纹形成有重要影响。此外,当涂层中残余应力过大时会产生微裂纹从而达到应力释放的目的,而一定量的孔隙还会释放局部应力集中,因此热障涂层的应力状态与其微结构密切相关。而微结构的形成也造就了应力状态的不同。因此,深入理解应力分布对裂纹形成的影响,不仅有助于优化涂层的成分及结构设计,还能为提高其在航空航天、能源等领域的耐久性和可靠性提供重要的理论依据。通过结合模拟研究与试验观察,未来的研究可以进一步探索自修复机制对提高自修复热障涂层高温服役性能的潜在贡献。

3     结论

本文采用宏观有限元模拟计算,系统研究了自修复热障涂层界面形貌对其残余应力的影响规律,得出以下结论。

(1)通过建立余弦理想界面模型发现,界面Ⅰ的波峰为压应力,波谷为拉应力,界面Ⅱ的S22应力分布与之相反。保持界面振幅不变,当界面Ⅰ、Ⅱ波长从60 μm上升到120 μm时,界面Ⅰ、Ⅱ的最大S22拉压应力都减小。

(2)当界面Ⅰ、Ⅱ的振幅A增加时,应力同时受到界面粗糙度和界面缓冲应力的影响,残余应力不随A的变化单调变化。当界面相对平坦时,波峰波谷通过尖端应力集中引起最大拉应力;如果界面起伏较大,则两层之间主要在波峰和波谷之间的位置产生较大的应力水平,而界面的波峰或波谷受到保护。

(3)改变上下界面波峰与波峰之间的相位偏移量d,探究界面交互作用的影响,界面Ⅰ的微观结构特征对界面Ⅱ波峰处的拉应力影响较大,当界面Ⅰ的波谷朝向界面Ⅱ的波峰时,这种形貌模式可以使界面Ⅱ的最大拉应力降低25.7%,避免界面产生过大的应力。

(4)在分析本文工作的基础上,还解释了自修复热障涂层可能的失效模式,对自修复热障涂层残余应力的理解,有助于设计更优化的涂层结构,同时借助自修复涂层的高温自修复效应,将进一步提高涂层的高温服役寿命,对进一步提高自修复热障涂层的耐久性具有重要意义。关于自修复机制对涂层服役寿命的研究将在我们未来的研究工作中进一步报道。

作者介绍



赵伟玲 博士研究生,主要研究方向为自修复热障涂层的结构设计及失效机制。

参考文献

[1]

THAKARE J G, PANDEY C, MAHAPATRA M M, et al. Thermal barrier coatings—A state of the art review[J]. Metals and Materials International, 2021, 27(7): 19471968.

[2]

PADTURE N P, GELL M, JORDAN E H. Thermal barrier coatings for gas-turbine engine applications[J]. Science, 2002, 296(5566): 280284.

[3]

GOSWAMI B, RAY A K, SAHAY S K. Thermal barrier coating system for gas turbine application—A review[J]. High Temperature Materials and Processes, 23(2): 7392.

[4]

EVANS A G, MUMM D R, HUTCHINSON J W, et al. Mechanisms controlling the durability of thermal barrier coatings[J]. Progress in Materials Science, 2001, 46(5): 505553.

[5]

DAI H W, ZHANG J H, REN Y Y, et al. Failure mechanism of thermal barrier coatings of an ex-service aero-engine combustor[J]. Surface and Coatings Technology, 2019, 380: 125030.

[6]

BUSSO E P, WRIGHT L, EVANS H E, et al. A physics-based life prediction methodology for thermal barrier coating systems[J]. Acta Materialia, 2007, 55(5): 14911503.

[7]

SCHLICHTING K W, PADTURE N P, JORDAN E H, et al. Failure modes in plasma-sprayed thermal barrier coatings[J]. Materials Science and Engineering: A, 2003, 342(1–2): 120130.

[8]

ABUBAKAR A A, ARIF A F M, AKHTAR S S. Evolution of internal cracks and residual stress during deposition of TBC[J]. Ceramics International, 2020, 46(17): 2673126753.

[9]

KUMAR V, BALASUBRAMANIAN K. Progress update on failure mechanisms of advanced thermal barrier coatings: A review[J]. Progress in Organic Coatings, 2016, 90: 5482.

[10]

MEHBOOB G, LIU M J, XU T, et al. A review on failure mechanism of thermal barrier coatings and strategies to extend their lifetime[J]. Ceramics International, 2020, 46(7): 84978521.

[11]

DAS B, GOPINATH M, NATH A K, et al. Effect of cooling rate on residual stress and mechanical properties of laser remelted ceramic coating[J]. Journal of the European Ceramic Society, 2018, 38(11): 39323944.

[12]

ZHAO S M, YAN P T, LI M, et al. Residual stress evolution of 8YSZ: Eu coating during thermal cycling studied by Eu3+ photoluminescence piezo-spectroscopy[J]. Journal of Alloys and Compounds, 2022, 913: 165292.

[13]

WANG L, WANG Y, SUN X G, et al. Microstructure and surface residual stress of plasma sprayed nanostructured and conventional ZrO2–8wt%Y2O3 thermal barrier coatings[J]. Surface and Interface Analysis, 2011, 43(5): 869880.

[14]

WANG L, LI D C, YANG J S, et al. Modeling of thermal properties and failure of thermal barrier coatings with the use of finite element methods: A review[J]. Journal of the European Ceramic Society, 2016, 36(6): 13131331.

[15]

CEN L, QIN W Y, YU Q M. Analysis of interface delamination in thermal barrier coating system with axisymmetric structure based on corresponding normal and tangential stresses[J]. Surface and Coatings Technology, 2019, 358: 785795.

[16]

CHEN Q, HU P, PU J, et al. Interfacial interaction and roughness parameters effects on the residual stresses in DCL–TBC system with different thickness distributions[J]. Ceramics International, 2021, 47(2): 27812792.

[17]

OUYANG T Y, WU J Y, YASIR M, et al. Effect of TiC self-healing coatings on the cyclic oxidation resistance and lifetime of thermal barrier coatings[J]. Journal of Alloys and Compounds, 2016, 656: 9921003.

[18]

WU D Y, MEURE S, SOLOMON D. Self-healing polymeric materials: A review of recent developments[J]. Progress in Polymer Science, 2008, 33(5): 479522.

[19]

CORDIER P, TOURNILHAC F, SOULIÉ-ZIAKOVIC C, et al. Self-healing and thermoreversible rubber from supramolecular assembly[J]. Nature, 2008, 451(7181): 977980.

[20]

NI W Y, CHENG Y T, GRUMMON D S. Recovery of microindents in a nickel–titanium shape-memory alloy: A “self-healing” effect[J]. Applied Physis Letters, 2002, 80(18): 33103312.

[21]

NOSONOVSKY M, AMANO R, LUCCI J M, et al. Physical chemistry of self-organization and self-healing in metals[J]. Physical Chemistry Chemical Physics, 2009, 11(41): 95309536.

[22]

SHCHUKIN D G, ZHELUDKEVICH M, YASAKAU K, et al. Layer-by-layer assembled nanocontainers for self-healing corrosion protection[J]. Advanced Materials, 2006, 18(13): 16721678.

[23]

WIKTOR V, JONKERS H M. Quantification of crack-healing in novel bacteria-based self-healing concrete[J]. Cement and Concrete Composites, 2011, 33(7): 763770.

[24]

MIHASHI H, NISHIWAKI T. Development of engineered self-healing and self-repairing concrete-state-of-the-art report[J]. Journal of Advanced Concrete Technology, 2012, 10(5): 170184.

[25]

FERGUSON J B, SCHULTZ B F, ROHATGI P K. Self-healing metals and metal matrix composites[J]. JOM, 2014, 66(6): 866871.

[26]

BODE S, BOSE R K, MATTHES S, et al. Self-healing metallopolymers based on cadmium bis(terpyridine) complex containing polymer networks[J]. Polymer Chemistry, 2013, 4(18): 49664973.

[27]

WOOL R P. Self-healing materials: A review[J]. Soft Matter, 2008, 4(3): 400418.

[28]

DERELIOGLU Z, CARABAT A L, SONG G M, et al. On the use of B–alloyed MoSi2 particles as crack healing agents in yttria stabilized zirconia thermal barrier coatings[J]. Journal of the European Ceramic Society, 2015, 35(16): 45074511.

[29]

WANG L, SHAO F, ZHONG X H, et al. Tailoring of self-healing thermal barrier coatings via finite element method[J]. Applied Surface Science, 2018, 431: 6074.

[30]

CHEN Y, ZHANG X, VAN DER ZWAAG S, et al. Damage evolution in a self-healing air plasma sprayed thermal barrier coating containing self-shielding MoSi2 particles[J]. Journal of the American Ceramic Society, 2019, 102(8): 48994910.

[31]

WANG L, MING C, ZHONG X H, et al. Microstructure and self-healing properties of multi-layered NiCoCrAlY/TAZ/YSZ thermal barrier coatings fabricated by atmospheric plasma spraying[J]. Applied Surface Science, 2019, 488: 246260.

[32]

OUYANG T Y, SUO J P. TiC-self-healing thermal barrier coating structures and oxidation resistance[J]. Surface and Coatings Technology, 2021, 412: 127065.

[33]

XIAO Y Q, LIU Z Y, PENG X M, et al. Spallation mechanism of thermal barrier coatings with real interface morphology considering growth and thermal stresses based on fracture phase field[J]. Surface and Coatings Technology, 2023, 458: 129356.

[34]

FERGUEN N, LECLERC W, LAMINI E S. Numerical investigation of thermal stresses induced interface delamination in plasma-sprayed thermal barrier coatings[J]. Surface and Coatings Technology, 2023, 461: 129449.

[35]

MONTAKHABI F, POURSAEIDI E, RAHIMI J, et al. Investigation of the effect of BC layer surface roughness and TC layer porosity on stress values in plasma sprayed coatings based on SEM images[J]. Materials Today Communications, 2022, 33: 104737.

[36]

YU C T, ZHANG L, BAO Z B, et al. Interfacial failure induced by dynamic evolutional stress of NiCoCrAlY–4YSZ TBCs during gradient thermal cycling: Effect of 4YSZ top coat thickness[J]. Surface and Coatings Technology, 2024, 477: 130408.

[37]

LI Z D, ZHENG R G, LIN X P, et al. Finite element analysis of TGO thickness on stress distribution and evolution of 8YSZ thermal barrier coatings[J]. Journal of the American Ceramic Society, 2023, 106(1): 789804.

[38]

ZHAO W L, HU Z C, WANG L, et al. Effect of top-coat thickness and interface fluctuation on the residual stress in APS–TBCs[J]. Coatings, 2023, 13(9): 1659.

[39]

RANJBAR-FAR M, ABSI J, MARIAUX G, et al. Simulation of the effect of material properties and interface roughness on the stress distribution in thermal barrier coatings using finite element method[J]. Materials & Design, 2010, 31(2): 772781.

[40]

SFAR K, AKTAA J, MUNZ D. Numerical investigation of residual stress fields and crack behavior in TBC systems[J]. Materials Science and Engineering: A, 2002, 333(1–2): 351360.

[41]

REZVANI RAD M, FARRAHI G H, AZADI M, et al. Effects of preheating temperature and cooling rate on two-step residual stress in thermal barrier coatings considering real roughness and porosity effect[J]. Ceramics International, 2014, 40(10): 1592515940.

[42]

LUGSCHEIDER E, NICKEL R. Finite element simulation of a coating formation on a turbine blade during plasma spraying[J]. Surface and Coatings Technology, 2003, 174: 475481.

[43]

ZHUANG M X, YUAN J H, HU Z C, et al. Design and optimization of coating structure for plasma sprayed self-healing MgO coating via finite element method[J]. Ceramics International, 2021, 47(2): 24142429.

[44]

HAN M, HUANG J H, CHEN S H. Behavior and mechanism of the stress buffer effect of the inside ceramic layer to the top ceramic layer in a double-ceramic-layer thermal barrier coating[J]. Ceramics International, 2014, 40(2): 29012914.

[45]

AKTAA J, SFAR K, MUNZ D. Assessment of TBC systems failure mechanisms using a fracture mechanics approach[J]. Acta Materialia, 2005, 53(16): 43994413.

[46]

HSUEH C H, FULLER E R. Residual stresses in thermal barrier coatings: Effects of interface asperity curvature/height and oxide thickness[J]. Materials Science and Engineering: A, 2000, 283(1–2): 4655.

[47]

HAN M, HUANG J H, CHEN S H. The influence of interface morphology on the stress distribution in double-ceramic-layer thermal barrier coatings[J]. Ceramics International, 2015, 41(3): 43124325.

目录